基于UNet融合液体神经网络与tanh激活函数的模型分割甲状腺结节的探索性研究

打开文本图片集
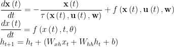
ABSTRACTToanalyzetheacuracy UNet integrated with liquid neural networks tanh activation function in segmentingthyroid nodules, toexploreanovelmethodfordynamicalloptimizing UNetsegmenters.Atotal 3493thyroid ultrasoundimages fromtheTN3Kdataset wereromlydivided intoatrainingset(2879 images)atestset(614images)at aratio7:3.The clasical UNetsegmenterservedasthe baseline model.Aliquid neuralnetwork(LNN)module was embedded intotheencoding,botleneck,decoding layers UNettoconstructtheLNN-UNet model.Buildingonthis,thetanh activationfunctionwasintroducedintotheLNNfeedbacklooptoconstructtheLNN-UNet-tanh model.Thesethreemodels were usedto segmentthe 3493 thyroid ultrasound images.The AdamoptimizeramixedBCE-Dicelossfunction wereused for modeloptimizationduringtraining.Theperformanceeach modelinsegmenting thyroidnodules wasevaluatedbyareaunder thecurve(AUC),Dicecoeficient,itersectionoverunion(U),F1sore,acuracy.Resultsshowedtatintheetset,the AUC for thyroidnodule segmentationbytheUNet,LNN-UNet,LNN-UNet-tanh models were 0.9159,0.9736,0.9831, respectively.Dicecoeficients intheestsetwereO.7787,0.8174,0.8417,respectively.IoUinthetestset were0.4871, 0.5118,O.5773,respectively.F1 scores inthetestset were0.6102,.6220,0.6725,theaccuacywere 0.9305, 0.9328, O.9474,respectively.Theresults indicatedthatforthyroidnodulesegmentationtasks,the LNN-UNet-tanhmodel outperformsboththeUNetLNN-UNetmodels.Itcanprovidemorepreciseregion--interestalgorithmsupportforclinical intelligentdagnosticmodels,herebyimprovingthetranslationrateclinicalresouresintomedicalatificialintelligence.
KEY WORDSUltrasonography; ; Image segmentation; UNet; Liquid neural network;Hyperbolic tangentactivation function ; Deep learning
甲状腺结节在普通人群中的患病率高达 67% ,在女性和老年人群中发病率更高,且其检出率随着影像技术的发展和普及持续上升1]。(剩余11079字)