注册帐号丨忘记密码?
1.点击网站首页右上角的“充值”按钮可以为您的帐号充值
2.可选择不同档位的充值金额,充值后按篇按本计费
3.充值成功后即可购买网站上的任意文章或杂志的电子版
4.购买后文章、杂志可在个人中心的订阅/零买找到
5.登陆后可阅读免费专区的精彩内容
打开文本图片集
中图分类号:S816.7 文献标识码:A 文章编码:1005-8567(2026)01-0070-05
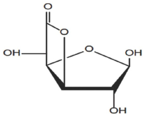
葡醛內酯是葡萄糖醛酸內酯的简称,化学式为 C6H8O6 。它是肝脏代谢葡萄糖过程中所产生的产物,也是结缔组织重要的组成成分。葡醛内酯在机体内通过酶的催化作用,内酯环被打开,转变为葡萄糖醛酸进而发挥作用。(剩余7529字)
登录龙源期刊网
购买文章
葡醛内酯的制备方法、生物学功能及其在动物生产中的应用
文章价格:5.00元
当前余额:100.00
阅读
您目前是文章会员,阅读数共:0篇
剩余阅读数:0篇
阅读有效期:0001/1/1 0:00:00