注册帐号丨忘记密码?
1.点击网站首页右上角的“充值”按钮可以为您的帐号充值
2.可选择不同档位的充值金额,充值后按篇按本计费
3.充值成功后即可购买网站上的任意文章或杂志的电子版
4.购买后文章、杂志可在个人中心的订阅/零买找到
5.登陆后可阅读免费专区的精彩内容
打开文本图片集
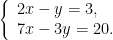
解二元一次方程组的基本思路是消元,常用的方法有代入消元法和加减消元法.这两种方法都是通过先消去方程中的一个未知数将解二元一次方程组问题转化为解一元一次方程问题来求解.那么,消去哪个未知数,用什么方法消元呢?这些问题都会影响解题的速度和准确率.因此,同学们在解题中应根据方程组的特点灵活选用最恰当的消元(剩余3041字)
登录龙源期刊网
购买文章
巧用消元法解二元一次方程组
文章价格:4.00元
当前余额:100.00
阅读
您目前是文章会员,阅读数共:0篇
剩余阅读数:0篇
阅读有效期:0001/1/1 0:00:00