注册帐号丨忘记密码?
1.点击网站首页右上角的“充值”按钮可以为您的帐号充值
2.可选择不同档位的充值金额,充值后按篇按本计费
3.充值成功后即可购买网站上的任意文章或杂志的电子版
4.购买后文章、杂志可在个人中心的订阅/零买找到
5.登陆后可阅读免费专区的精彩内容
打开文本图片集
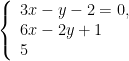
整体思想是指从问题的全局出发,通过对问题的整体结构进行分析和改造,发现其整体特征及内在关联,从而有目的、有意识地从整体上处理问题的数学思想.运用整体思想求解二元一次方程组时,可以将方程组中的部分表达式视为一个整体,通过整体代入、整体加减或整体换元等方法来消去变元或减少变元.这样不仅可以简化方程形式,(剩余1557字)
登录龙源期刊网
购买文章
巧用整体思想解二元一次方程组
文章价格:3.00元
当前余额:100.00
阅读
您目前是文章会员,阅读数共:0篇
剩余阅读数:0篇
阅读有效期:0001/1/1 0:00:00