中原城市群土地绿色利用效率与新型城镇化协调发展及影响因素
            
                        
                        
            	
            
                 
                
                
            
            
                
                    
                    打开文本图片集
            
            中图分类号:F293.2 文献标志码:A 文章编号:2095-1329(2025)01-0155-10
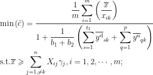
摘  要:揭示中原城市群土地绿色利用效率与新型城镇化的协调发展现状及影响因素,为中原城市群和其他地区推动区域高质量发展提供借鉴参考。基于 2009—2021 年中原城市群 29 个地市的面板数据,运用超效率 SBM 模型、耦合协调度模型、GTWR 模型测度中原城市群的土地绿色利用效率与新型城镇化水平,并揭示二者的协调发展状态以及协调发展的影响因素。(剩余19752字)