注册帐号丨忘记密码?
1.点击网站首页右上角的“充值”按钮可以为您的帐号充值
2.可选择不同档位的充值金额,充值后按篇按本计费
3.充值成功后即可购买网站上的任意文章或杂志的电子版
4.购买后文章、杂志可在个人中心的订阅/零买找到
5.登陆后可阅读免费专区的精彩内容
打开文本图片集
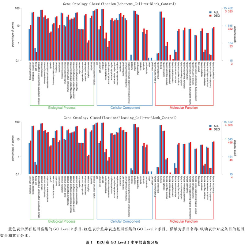
[摘要] 目的 检测转导Octamer转录因子4(OCT4)的人毛囊间充质干细胞(hHFMSC)衍生的贴壁和悬浮亚群转录组去分化差异,探讨OCT4诱导hHFMSC去分化的作用机制以及去分化程度对细胞形态及黏附性的影响。方法 收集hHFMSC、贴壁亚群和悬浮亚群3组细胞并提取总RNA,进行转录组测序,分析差异基因的组织特异性生物功能,并检测组织特异性基因的表达变化。(剩余8416字)
登录龙源期刊网
购买文章
RNA测序分析OCT4诱导人毛囊间充质干细胞去分化的作用机制
文章价格:5.00元
当前余额:100.00
阅读
您目前是文章会员,阅读数共:0篇
剩余阅读数:0篇
阅读有效期:0001-1-1 0:00:00