注册帐号丨忘记密码?
1.点击网站首页右上角的“充值”按钮可以为您的帐号充值
2.可选择不同档位的充值金额,充值后按篇按本计费
3.充值成功后即可购买网站上的任意文章或杂志的电子版
4.购买后文章、杂志可在个人中心的订阅/零买找到
5.登陆后可阅读免费专区的精彩内容
打开文本图片集
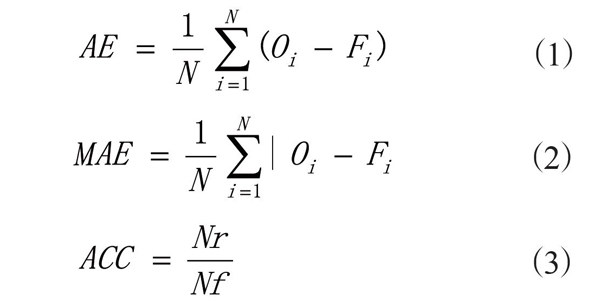
摘要 检验分析了欧洲中心、福州模式、中央台指导预报、河北模式的多个预报要素,包括整点温度、整点湿度、风向、风速、最高温度、最低温度。通过对比分析误差、平均绝对误差、预报准确率得到以下结论:(1)整点温度预报误差除了个别预报时效外,普遍为负值,平均绝对误差随着预报时效的增加是波动式变大的,福州模式的平均绝对误差整体较低,而其预报准确率高于其他模式。(剩余9343字)
登录龙源期刊网
购买文章
多种数值模式预报要素对比检验分析
文章价格:5.00元
当前余额:100.00
阅读
您目前是文章会员,阅读数共:0篇
剩余阅读数:0篇
阅读有效期:0001-1-1 0:00:00