注册帐号丨忘记密码?
1.点击网站首页右上角的“充值”按钮可以为您的帐号充值
2.可选择不同档位的充值金额,充值后按篇按本计费
3.充值成功后即可购买网站上的任意文章或杂志的电子版
4.购买后文章、杂志可在个人中心的订阅/零买找到
5.登陆后可阅读免费专区的精彩内容
打开文本图片集
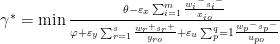
关键词 耕地绿色低碳利用;农业社会化服务;Super⁃EBM模型;空间杜宾模型中图分类号 F301. 2 文献标志码 A 文章编号 1002-2104(2025)03-0139-11 DOI:10. 12062/cpre. 20241113
耕地是人类进行生产生活和经济活动的物质载体和禀赋基础[1]。(剩余18402字)
登录龙源期刊网
购买文章
农业社会化服务驱动耕地绿色低碳利用的机理与效应
文章价格:6.00元
当前余额:100.00
阅读
您目前是文章会员,阅读数共:0篇
剩余阅读数:0篇
阅读有效期:0001-1-1 0:00:00