注册帐号丨忘记密码?
1.点击网站首页右上角的“充值”按钮可以为您的帐号充值
2.可选择不同档位的充值金额,充值后按篇按本计费
3.充值成功后即可购买网站上的任意文章或杂志的电子版
4.购买后文章、杂志可在个人中心的订阅/零买找到
5.登陆后可阅读免费专区的精彩内容
打开文本图片集
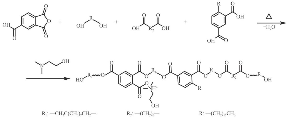
中图分类号:0633 文献标识码:A 文章编号:1000-0518(2025)11-1500-10
聚酯树脂光泽高,耐候性好,涂膜丰满,兼具硬度和柔韧性[1]。目前,溶剂型聚酯树脂涂料广泛用于彩钢板等预涂卷材的生产中。水性涂料在环保型涂料中占有重要地位,然而,有关水性聚酯彩钢板涂料的研究报道相对较少[2-3]。(剩余14807字)
登录龙源期刊网
购买文章
水性聚酯树脂的改性及其在彩钢板涂料中的应用
文章价格:6.00元
当前余额:100.00
阅读
您目前是文章会员,阅读数共:0篇
剩余阅读数:0篇
阅读有效期:0001-1-1 0:00:00