注册帐号丨忘记密码?
1.点击网站首页右上角的“充值”按钮可以为您的帐号充值
2.可选择不同档位的充值金额,充值后按篇按本计费
3.充值成功后即可购买网站上的任意文章或杂志的电子版
4.购买后文章、杂志可在个人中心的订阅/零买找到
5.登陆后可阅读免费专区的精彩内容
打开文本图片集
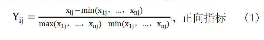
摘要:本文基于创新投入、创新产出、创新环境和创新绩效四个要素,运用定性分析和定量判断相结合的方法,构建包括4个一级指标、17个二级指标的广西区域创新指标体系,进而对14个地级市的区域创新和城市创新水平进行综合评价。研究发现,2013~2021年,广西地级市的创新水平呈现差异化的发展态势,南宁市、柳州市、桂林市创新水平较高;广西区域创新水平总体明显增长,但也有起伏。(剩余3479字)
登录龙源期刊网
购买文章
广西区域创新指标体系构建及综合评估
文章价格:4.00元
当前余额:100.00
阅读
您目前是文章会员,阅读数共:0篇
剩余阅读数:0篇
阅读有效期:0001-1-1 0:00:00