注册帐号丨忘记密码?
1.点击网站首页右上角的“充值”按钮可以为您的帐号充值
2.可选择不同档位的充值金额,充值后按篇按本计费
3.充值成功后即可购买网站上的任意文章或杂志的电子版
4.购买后文章、杂志可在个人中心的订阅/零买找到
5.登陆后可阅读免费专区的精彩内容
打开文本图片集
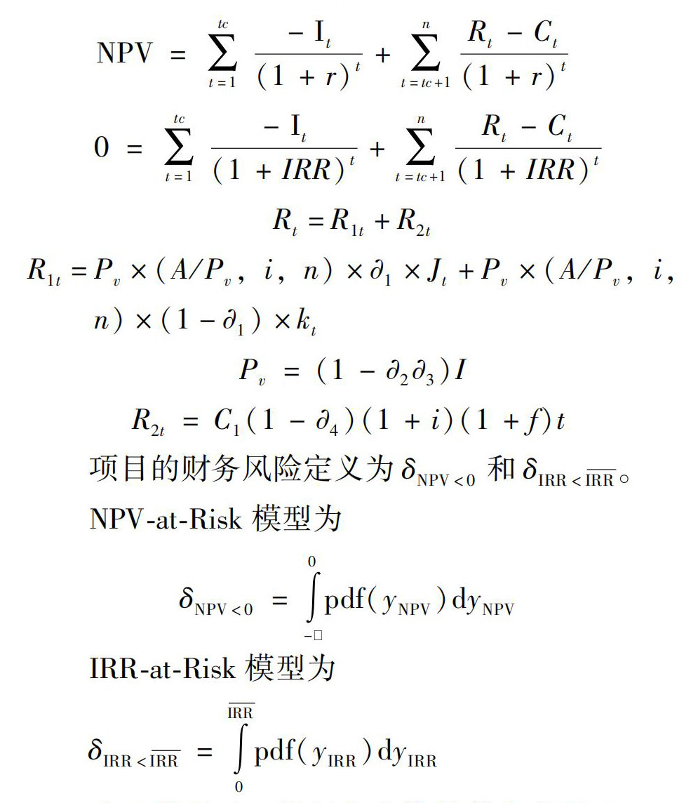
摘要:构建反映政府付费公路项目财务风险的NPV-at-Risk和IRR-at-Risk评估模型,在模型中充分考虑绩效评价机制对财务风险的影响。将模型应用于现实项目进行案例分析,采用蒙特卡罗模拟法(MCS)对项目进行风险评估,得到NPV(净现值)和IRR(内部收益率)的累积概率分布,识别影响政府付费公路项目NPV的关键风险因素。(剩余7420字)
登录龙源期刊网
购买文章
政府付费公路PPP项目财务风险评估模型研究
文章价格:5.00元
当前余额:100.00
阅读
您目前是文章会员,阅读数共:0篇
剩余阅读数:0篇
阅读有效期:0001-1-1 0:00:00