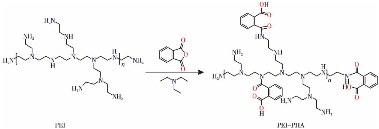
新型 AP 热分解抑制剂PEI-PHA/Ca(CIO4)2的制备、性能及催化机制

打开文本图片集
中图分类号:0633.2 文献标志码:A 文章编号:1671-8755(2025)04-0001-09
固体推进剂作为火箭、导弹等武器系统的动力源,其燃烧性能和能量大小直接影响武器系统的生存能力和作战能效[1]。近年来,研究人员就如何改善固体推进剂的燃烧性能进行了大量研究,就如何提高固体推进剂的燃烧速率提出了多种手段和方法,既有调节氧化剂粒径或增加氧化剂含量的物理方法,也有添加燃速催化剂等化学方法[2-3]。(剩余11753字)