注册帐号丨忘记密码?
1.点击网站首页右上角的“充值”按钮可以为您的帐号充值
2.可选择不同档位的充值金额,充值后按篇按本计费
3.充值成功后即可购买网站上的任意文章或杂志的电子版
4.购买后文章、杂志可在个人中心的订阅/零买找到
5.登陆后可阅读免费专区的精彩内容
打开文本图片集
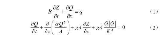
摘 要:平原地区闸站等水利工程在防洪除涝中起着重要作用,合理的调度可有效减轻洪水灾害。基于2020年巢湖洪水事件,采用河网一维非恒定流模型,结合实测水情研究了牛屯河分洪闸——铜城闸调度对巢湖洪水外排能力的影响。结果表明,铜城闸分洪使巢湖闸泄洪量增加分洪量的33-50%,但使洪水通过裕溪闸下泄的流量减少了分洪量的50-67%。(剩余4546字)
登录龙源期刊网
购买文章
分洪调度对安徽巢湖泄洪影响研究
文章价格:4.00元
当前余额:100.00
阅读
您目前是文章会员,阅读数共:0篇
剩余阅读数:0篇
阅读有效期:0001/1/1 0:00:00