客联

客联

2021年06期
  • 收藏
收藏成功
微博 空间 微信
《客联》杂志坚持科学发展观,立足全学科全方位,突出理论与实践相结合,以刊载知名专家学者的学术文章及研究人员的学术论文为主...     展开

类型

月刊

类别

定价
促销信息
全年订阅更优惠!
¥10.00 ¥6.00
目录

金融财经

浅谈金融视角的农业供应链融资问题
摘 要:农业主体在推动我国乡村振兴、改善城乡二元经济机构等方面都起着至关重要的作用,但农业主体自身实力相对较弱,“融资难”的问题一直困扰其发展,农业供应链融资这种新型模式的出现,在一定程度上改变了银行的授信策略从而缓解了部分农业融资难题。本...
民营经济的金融困境与融资次序
摘 要:在经济大发展的社会背景下,社会生产的各个要素都在促进社会经济增长的过程中发挥着重大的推动作用,而自从在进行经济体制改革后,民营经济的发展活力大为提升,使得民营经济为社会经济的发展提供了强有力的动力,并且逐渐成为了最大的经济增长点之一...
商业银行对企业的贷款管理
摘 要:贷款对于商业银行来说是一项十分重要的经济业务,它是商业银行的主要收入来源,其中企业贷款占绝大比例。同时由于中小企业的一些自身的局限,使得商业银行更愿意将其贷款给一些并不需要资金的大企业,无法使资金充分发挥作用,一些中小企业的发展也因...
浅析商业银行人才队伍的建设与管理
摘 要:近年来,全球经济整体复苏疲弱乏力,经济下行压力持续增大。随着存款保险制度的建立、利率市场化的推行,银行作为金融机构,面临着前所未有的挑战。在国内经济的改革中,银行业也迫切地需要从高速发展向高质量发展转变。而人才作为商业银行发展的核心...
微信新闻用户的新闻价值判断研究
摘 要:微信作为人们日常接收新闻信息的主要渠道和生成新闻的重要平台,正在逐渐改变着传统的新闻传播范式。微信中的新闻无论从来源、展现还是流动都与以往有着较为显著的区别,新闻被微信使用者,也即是用户重新定义,对新闻价值的判断也会随之改变。本文采...
浅析我国商业银行资本管理
摘 要:资本作为商业银行经营过程中不可缺少的一部分,在商业银行中扮演着十分重要的角色。它不仅是商业银行持续健康发展的基础,而且还是其防范风险的最后屏障。因为资本处在如此重要的地位,对资本进行管理,就成为商业银行经营过程中的重要组成部分。资本...
疫情期间大学生消费特征研究
摘 要:自新冠肺炎疫情以来,抗击疫情与恢复经济取得了重要成就,作为消费主体之一的大学生在一定程度上影响着经济恢复能力,对此,本文将通过问卷调查的形式以疫情期间大学生的消费情况作为基点提出假设进行调查研究,结果显示疫情前后大学生各部分消费改变...
试析企业信息化与财务管理的关系
摘 要:在当今社会,互联网、大数据等已成为主流,各行业,各领域采用一切可利用的工具和方法来实现互联网+以及大数据分析等,其中目前使用最广泛的即信息化工具,在传统思维中,信息化软件只是一个记账工具,为企业财务提供服务,但现今企业管理人员逐渐的...
疫情影响及互联网经济冲击下传统线下零售商店向新型“互联网+”便利店转型策略研究
摘 要:随着信息技术的快速发展,传统线下零售商店已不能满足当代人需求,随着现互联网购物普及并被广泛接受。对此,本文对我国传统线下零售商店向新型“互联网+”便利店转型策略进行了具体分析,并对行业转型的路径进行了深入探究。 关键词:传统零售行业...
企业内部控制审计否定意见案例分析及其启示
摘 要:在2020年12月31日内部控制评价报告基准日辅仁药业集团制药股份有限公司被北京兴华出具了否定意见的内部控制审计报告,在会计审计届引起诸多争议。本文从公司简介、内部控制评价报告、内部控制审计报告进行案例介绍,对导致内控审计否定意见的...
乡村振兴背景下农业经济管理的有效路径探索
摘 要:强化农业经济管理是乡村振兴的重要环节。目前,我国农业还存在着农业基础设施落后、管理机制不健全、管理者专业素质有待提高、农业经济信息平台缺乏等现实问题。乡村经济发展中,各有关部门要着力完善农业基础设施的总体结构,优化农业经济管理体制,...
国有大型集团知识服务集中采购平台的研究与实践
摘 要:本文分析了国有大型集团下属出版社所具有的优势和面临的问题,探讨了出版社在知识服务转型过程中,立足服务集团构建的知识、文化、智库集中采购服务平台。平台将出版资源独立化,通过不同模块建立各种资源之间的联系,将本来固化的知识分解重构,实现...
浅谈财务分析在医院经济管理中的作用
摘 要:伴随着社会经济的发展,医疗体制也随之不断的改革和调整,在此背景下,医院的财务体制也日趋规范化和标准化。一般而言,在医院开展的财务分析,是对某一特定时间段的医院的经营情况和财务情况做出的总结,为医院的经济管理提供了重要参考,因此,财务...
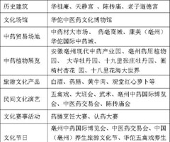
精准扶贫背景下中医药文化特色旅游开发的实践研究
摘 要:亳州是国家级历史文化名城,名列全国四大药都之首,也是当下全球最大的中药材交易中心,发展中医药文化特色旅游产业成为亳州市产业发展的主要方向。本文以亳州为例,通过实地走访调查等方法,探究其在精准扶贫的大背景下,经济发展的现状和问题,为探...
浅析漯河市发展壮大村集体经济的现状及对策
摘 要:发展壮大村级集体经济是强农业、美农村、富农民的重要举措,是实现乡村振兴的必由之路。党的十九大报告提出实施“乡村振兴战略”,并把产业兴旺摆在乡村振兴总要求的首位。2019年中共河南省委经济工作会议和农村工作会议分别对如何以产业兴旺作为...
推动农村电商产业发展 助力乡村振兴
习近平总书记在陕西省柞水县小岭镇金米村考察脱贫攻坚情况时表示,电商作为新兴业态,既可以推销农副产品、帮助群众脱贫致富,又可以推动乡村振兴,是大有可为的。近年来,“直播+电商”等网购新方式风生水起,这种新业态也在向农村地区延伸,在一些地方,手...
“智慧旅游”发展模式对比分析
摘 要:“智慧旅游”是指利用互联网的云计算等技术,是用户通过移动终端了解旅游相关的信息,从而更好的享受旅游体验。目前智慧旅游已成为景区应对汹涌客流的高效、便捷方式,依靠智慧旅游的大数据对人流管控,利用相关APP对游人进行指导,让旅游的品质得...
会计电算化对会计工作方法影响探索
摘 要:随着计算机网络技术的发展,我们的生活变得更加快捷和高效,很多行业也因为信息技术的广泛应用提高了工作效率。 关键词:会计电算化;会计工作方法;影响随着计算机网络技术的发展,我们的生活变得更加快捷和高效,很多行业也因为信息技术的广泛应用...
大数据时代背景下管理会计的发展
摘 要:在信息技术高速发展的今天,每一个企业都处于激烈的竞争关系中。如何利用技术水平降低自己的成本,提高生产效率,增加盈利能力是企业都要考虑的关键问题。 关键词:大数据;时代背景;管理会计随着时代的进步,科学技术水平的提高,大数据技术已经广...
云会计面临的机遇与挑战
摘 要:本文指出了会计目前出现的状况和问题和会计工作的重要作用,阐述了经济全球化给会计工作带来的影响,提出了在经济全球化下会计工作所面临的机遇和挑战以及加强会计工作的建议。 关键词:云会计;机遇;挑战 一、会计目前出现的状况和问题(一)会计...
关于无形资产财务内部控制的教学案例研究
摘 要:随着经济转型,高新技术企业飞速发展,无形资产作为公司的特殊性资产,贯穿于其生产经营活动的始终,是企业的重要资产。但由于企业经常出现无形资产财务内部控制、风险评估等管理问题,致使企业重大损失的情况时有发生。因此,无形资产财务内部控制对...
新个税改革背景下大病医疗专项附加扣除探析
摘 要:合理的大病医疗专项附加费用扣除制度不仅符合量能课税原则,而且顺应我国目前社会老龄化严重、子女赡养老人负担加重的趋势,在一定程度上减轻家庭负担,提升居民幸福指数,意义重大。本文结合新冠疫情的影响,从大病医疗专项附加扣除的必要性、具体扣...
N集团财务共享中心建设案例研究
摘 要:财务共享中心的建设旨在融合企业信息流、财务流和业务流,实现集团的业务、财务一体化。本文以N集团为案例,分析N集团财务管理现状,财务共享中心建设初期财务共享中心总体实施要求,从而为其他企业的财务共享服务中心的建设与流程重构与设计提供借...
中国经济增长的支撑要素与新挑战分析
摘 要:改革开放以来,中国的经济发生了巨大的变化。国民经济大步向前,经济总量不断迈上新台阶。2020年,在新冠肺炎疫情的巨大冲击和复杂严峻的国内外形势下,当世界经济陷入严重衰退,中国国民经济却能在一季度下降后逐步恢复,在种种困难下取得了极不...
政府宏观经济管理下的区域经济协调发展
摘 要:在当前政府落实宏观经济管控的模式下,实现对相关区域性经济稳定协调的发展,相关区域政府需要在宏观政策的引导下,对于地方政府的经济发展模式进行创新和改革,尽可能实现相关区域资源最大化的使用,并且结合行政、经济、法律的手段来引导相关区域经...
浅析减税降费对中小企业发展的影响
摘 要:中小企业是我国市场主体的重要构成部分。我国中小企业成长较快,但税负重、制度性交易成本高且融资难等问题一直是中小企业发展瓶颈。2020年更大规模的“减税降费”政策给中小企业带来了新的发展机遇。本文将以海南自由贸易港中小企业发展为例,探...

商业管理

5S管理在企业管理中的运用
摘 要:5S管理是起源于日本的一种先进的管理方法,通过对现场实施管理,加强对作业现场的整理、整顿、清扫、清洁以及素养来提高管理工作的效率,降低企业的运营成本。金融企业要卓有成效的推进5S管理,必须要建立以高层领导为首,各部门负责人积极参与的...
基于企业文化的战略人力资源管理
摘 要:我国企业随着经济全球化和改革开放的不断深化,在竞争越来越激烈的市场中面临着许多挑战和困难,本文在简单介绍了战略人力资源管理和企业文化的概念及特征的基础上,详细分析了战略人力资源管理和企业文化的内在联系,从而提出了基于企业文化的完善战...
“互联网+”时代背景下重庆市酉阳县竹筒酒产业培育研究
摘 要:随着互联网经济的高速发展,传统的经营模式受到了猛烈的冲击,于是“互联网+传统产业”的经营模式诞生了。但重庆市酉阳县的竹筒酒产业因为多种因素的影响,他们的发展模式仍处于传统的手工业模式,没有与互联网结合起来。以重庆市酉阳县竹筒酒产业的...
国企责任审计评价体系构建研究
摘 要:经济责任审计是一项具有明显中国特色的经济监督活动。近年来,中央正在大力推行绿色生态可持续发展,致力于和谐社会的建设,国企进入深化改革的关键期,完善对国企领导的经济责任审计体系也刻不容缓。本文从社会责任的角度出发,将领导人的生态效益和...
赋权视角下城镇失业者的福利依赖研究
摘 要:近年来,我国由于经济结构在不断调整,失业人员不断增多。2020年爆发的新冠疫情更是对整个经济市场运作和就业形势造成较大的冲击,这导致了当前失业人员进一步增加。城市给予失业者相关的社会福利救助,这种给予型的救助福利一定程度上降低了他们...
关于解决企业网络安全的几点思考
摘 要:随着经济社会的发展,网络应用的范圃越来越广泛,社会对网络的依赖程度也越来越大,通过网络阐述、存储和处理的信息量迅速增长。这些信息涉及的范围十分广泛,如果有些保密信息或敏感信息受到怀有不良目的的人或组织的攻击或者破坏,就可能会造成严重...
基于GONE理论的康美药业财务舞弊案例分析
摘 要:康美药业财务造假导致其股价骤然暴跌,证券交易开盘后直接跌停,康美债券信用等级被调低,降为AA+,并列入信用评级观察名单。康美药业的行为严重损害了中小股东的利益。从19世纪90年代起,我国证监会已通报过多起上市公司舞弊案件,但上市公司...
校园生活服务创业
摘 要:“失去年轻人,就失去了市场和未来。”校园是年轻人最多的一个场景,也是大市场的缩影,是孕育了许多互联网风口的热土。正因如此,近几年的电商与社交行业,也都将目光聚焦于校园这片流量池。作为2020年社交电商最大风口的“社区团购”赛道,也不...
汽车4S店营销管理系统服务器端的设计
摘 要:本文介绍了汽车4S店营销管理系统服务器端的设计,以及实现的过程。服务器端实现了数据的传输以及对数据库的操作,将Android客户端和PC端联系起来,形成一个共同协作的整体。 关键词:营销管理系统;数据库;服务器端 一、需求分析随着经...
信息化时代档案管理之我见
摘 要:为党管档、为国守史、为民服务、为史存鉴。这是档案人的神圣职责!档案管理责任重大、使命光荣、前景广阔。信息技术的发展和广泛应用,给档案管理工作带来了新形势、新课题、新思考、新实践、新要求、新契机。文章从信息化时代档案管理的地位和作用着...
档案管理信息化的科学发展路径与创新研究
摘 要:在现代的生产、生活中,信息化技术越来越普及,尤其是在档案管理领域,人们已经开始关注并做出一些改变。伴随信息技术的不断发展、水平不断提升,档案的管理也需要加入新的技术来发展进步。因此,在档案管理中引进信息化技术是必不可少的,也是一条最...
殡葬服务存在的问题与应对对策研究
摘 要:生老病死乃是自然规律,而随着社会物质生活水平不断提高,人们对逝后殡葬服务要求也在日益提升,因此,构建全面殡葬服务体系成为社会关注焦点,所以在新形势社会发展背景下,如何优化完善殡葬服务体系,加强殡葬服务管理成为有关政府部门亟待解决的问...
分析如何做好消防灭火救援安全工作
摘 要:灭火救援过程中,会遇到各种突发、意外情况,比如,化学品爆炸、有毒气体泄漏、电气爆炸、建筑物坍塌,这些危险情况不仅会造成人员伤亡,也会对救援工作带来负担,最终产生一系列破坏。随着消防社会化和和消防智能化的发展,消防部门业务活动增多、救...
高校低值品的管理
摘 要:本文作者根据实验室教学资产管理的实际工作经验,详细阐述了高校低值品在教工办公,学生实验和创新竞赛中的作用,并对其在分类、采购、保管、领用等诸多方面提出了比较成熟的观点和意见,低值品价格低但耗费数量大,加强低值品在各环节的管理,对提高...
高校财务报销中的沟通问题研究
摘 要:随着高校资金量的增加和资金监管的要求越来越高,以及学校师生对财务服务的新要求,由财务报销所引发的矛盾越来越突出。本文将重点从沟通的角度去探寻问题的本质,力争提出切实可行的解决高校财务报销中的沟通问题的对策。具体来说,本论文主要包括四...
高校外卖循环餐盒餐具的应用研究
摘 要:在国家限塑令和生态文明建设背景下,一次性餐盒餐具早已不符合环保健康要求。但随着外卖进入校园,大学生用餐方式发生改变,大量的校园外卖餐盒消费产生过多“白色”垃圾和其他诸多的衍生问题,对环境保护产生严重影响。本文旨在以高校应用循环餐盒餐...
工业厂房机电安装施工与质量控制
摘 要:随着当前时代不断发展,那么工业厂房机电安装就应该积极的采取相应措施,以此来更好的控制安装质量,这样才能够保证机电的稳定运行。只有不断的完善管理,积极的提升技术,进而才能够确保工业厂房中机电的合理应用。本文就先了解工业厂房机电安装施工...
基于大数据的道路交通安全管理研究
摘 要:在道路交通安全管理工作开展过程,应重视合理地运用大数据方式,科学地加强对于道路交通安全管理的数据分析以及研究能力,从而借助大数据手段,全面地开展交通安全管理工作,有效的为道路交通安全管理工作提供技术保证。本文通过进一步分析,探索了大...
地铁通信工程的施工技术要点与质量控制研究
摘 要:在城市功能中,地铁是关键的构成,有利于缓解交通压力。而在地铁进行建设的过程中,通信工程属于关键的工程项目,在地铁运行及维护方面,发挥着关键性的作用。对此,想要有效降低事故出现的几率,实现系统的安全运转,应对地铁施工技术及质量控制加以...
刍议建筑安装工程中劳务分包合同管理
摘 要:在建筑安装工程实施过程中,为了完成建安任务,施工企业和合格供方或分包方等实体要签订一系列合同,约束双方行为。而劳务分包合同是最重要的分包合同之一,在安装工程管理中发挥着非常重要的作用。目前,国家已经开始实施现场实名制管理,又要开始实...
新常态背景下城市交通运输规划体系建设研究
摘 要:在经济不断发展的背景下,我国已经进入新常态发展,在新常态发展中,国家更注重经济发展的质量,更注重最基本的民生。城市交通运输规划体系的建设一直都是人民生活的基本保障,与人们的生活息息相关,也是新常态发展的重要部署。本文深入探讨了新常态...
浅谈水利水电工程建筑的施工技术及管理研究
摘 要:水利水电工程施工不同于一般的建筑工程施工,该工程的施工工期较长,施工难度较大。要想保障施工质量以及水利水电工程建筑的后续使用寿命,就要有明确的施工技术,并且在以后的施工过程中,不断地总结经验,创新技术,以提升施工质量及施工效率。 关...
分洪调度对安徽巢湖泄洪影响研究
摘 要:平原地区闸站等水利工程在防洪除涝中起着重要作用,合理的调度可有效减轻洪水灾害。基于2020年巢湖洪水事件,采用河网一维非恒定流模型,结合实测水情研究了牛屯河分洪闸——铜城闸调度对巢湖洪水外排能力的影响。结果表明,铜城闸分洪使巢湖闸泄...
水利施工新技术的应用思路
摘 要:随着我国改革开放的不断深入,水利工程建设取得了巨大成绩,不管是基础设施方面还是水利技术方面都有明显的进步。在这一过程中,水利技术创新是推动水利工程有序实施、降低水利工程建设成本及提升水利工程使用效率的一条重要途径。新时期,水利工程建...

教育天地

高职院校舞台实践线上教学困境与对策研究
摘 要:继新冠疫情背景下的“停课不停学”后,线上教学模式逐渐趋向常态化。然而,对于实践类的表演艺术课程,高职院校的教师在线上授课中存在局限。本文立足于高职院校表演艺术课程——《舞台实践》的线上教学困境,通过笔者相关的线上教学经验、学生及教师...
中职学校焊接专业理实一体化教学模式的构建研究
摘 要:为了改变以前中职焊接教学系统,就需要在焊接教学方面进行理实一体化的教学策略,将技能为前提,将理论知识与技能需要互相融合,切实完成理实一体化教学。这篇论文主要阐述了实施中职焊接理实一体化教学原因,实行焊接理实一体化的教学策略,希望为更...
新媒体背景下高校文化艺术氛围构建研究
摘 要:从全球范围的艺术环境看,艺术氛围的培养是各国文化素质培养的重要组成部分,本文通过对国内外文献资料的搜集与整理,采用实地调查法和问卷调查法等,深入了解当前新媒体以及高校的艺术文化发展现状,分析高校艺术文化氛围构建中的问题与不足,并以宁...
基于素质拓展理念下的大学生心理健康教育路径研究
摘 要:当前,大学生心理健康教育不断被重视和加强,教育水平也在不断提高,但是仍然存在一些问题。因此,完善大学生心理健康教育的课程设计,丰富心理健康教育的渠道,是可持续推动心理健康教育的重要举措。本文基于素质拓展理念,探究大学生心理健康教育的...
科教融合模式下的智能灌溉系统的实验教学研究设计
摘 要:随着社会的不断发展以及人们生活水平的不断提高,传统的农业种植技术已不能满足人们的现代生活,除此之外,近些年水资源的不足与污染问题严重加剧。这些现象的出现推动了农业种植的快速发展,促使灌溉系统智能化越来越普遍。 关键词:单片机;智能;...
浅析网络广播电视台新媒体平台建设
摘 要:现阶段,信息技术应用较为广泛,互联网技术水平不断提升,人们可以通过多种渠道获取信息。在过去的生活中,人们获得信息的主要渠道是电视广播,当前传统的电视广播已不能满足人们快节奏的生活需求,同时传统的广电媒体形式也出现了一些问题,亟须依靠...
以应用人才培养为目标的数据结构课程的教学改革
摘 要:高等教育在不断发展过程中,越发重视培养应用型人才,数据结构属于计算机专业和相近专业中的一门重要课程,教学中需重视培养学生应用能力,使学生发展能够与社会实际需要相适应。就当前课程实际教学现状来讲,开展中仍存在一些问题,需积极推动教学改...
数字经济背景下高校教务管理工作探析
摘 要:近年来,在数字经济高速发展的时代背景下,数字校园的建设与应用变得越来越普遍,高校的教务管理工作也在普及数字信息的应用,研究如何有效的利用各类校园数字信息开展教务管理工作,提升教务管理水平核效率,同时避免数字管理背景下人本管理的缺失,...
对我国大学生支教现有模式的探究
摘 要:伴随国家对教育扶贫政策的开展,很多学校也鼓励大学生进行支教,不仅是对学生自身能力的锻炼,还能带动贫困地区教育发展。在现有的支教模式中存在一些问题,导致大学生支教收效甚微。所以要在以前的基础上进行修正,提高大学生支教的水平。 关键词:...
论互联网条件下多模态话语分析理论在我国高校英语教学中实践探索
摘 要:多模态话语分析理论是20世纪末兴起的基于系统功能语法理论的新兴话语分析理论,近20年来,在中外学者的探讨与研究下,证实了其对于二语教学构建多模态课堂的重大意义。现代化教育背景下的个性化多模态教学体系势必对传统英语口语、听力、阅读、写...
批判性阅读策略在英语阅读中的应用
摘 要:本文运用Flynn的批判性阅读策略,对英语专业学生批判性阅读策略的应用现状进行了研究,探讨英语专业学生在英语阅读中对批判性阅读策略的使用频率以及对学生来说较为有效的批判性阅读策略。 关键词:批判性阅读策略;英语专业学生;英语阅读随着...
非谓语考点及解题对策分析
摘 要:非谓语在英语语法学习既是难点也是重点。师生在面对非谓语这个庞大的语法体系学习时,通常感到力不从心,学生不知道学习的重点是什么,考试的考点是什么。老师不知道怎样展开有效的教学。本文通过多个例题总结出非谓语语法考点和解决对策。 关键词:...
C++函数调用方式教学方法的探讨
摘 要:函数调用方式是C++函数教学的重点,教学内容存在一定的难度。本文简述了三种C++函数调用方式的特点,通过典型案例分析,引导学生掌握函数调用方式的运用方法。 关键词:C++;教学;函数;调用方式 一、引言C++语言是较为复杂的一门面向...
基于声母本音的对外汉语拼音音节直呼教学初探
摘 要:对外汉语语音教学是第二语言学习者学习汉语的起点也是重点,但以音素教学的基本模式使部分留学生在音节拼读方面存在顽固性偏误。本文致力于探索留学生音节拼读困难的原因,借助声母本音帮助留学生实现部分音节直呼,以期帮助其克服部分音节拼读困难问...
课程思政视野下德育与高职院校钢琴教学融合的现状与策略
摘 要:音乐是一门艺术,对人们的生活有着深远的影响,钢琴是高职院校音乐教学的主要内容之一,对提高学生的综合素质起着重要作用,新时期德育已开始渗透到各学科的实践教学中,从课程思政的角度来看,要想取得良好的教学效果,适应现代教育的实际需要,高职...
新时代民办高校辅导员思政教育工作时效性的提升策略
摘 要:新时代背景下,民办高校辅导员作为高校基层教育管理的一员,不仅仅要负责学生的学习任务,还要对学生展开思想政治教育工作。虽然高校学生的已经成年,也有较强的接受能力,但他们的思想抵抗意识仍然存在着较为明显的缺点。高校辅导员通过对学生展开思...
课程思政在钢琴教学中的改革应用路径
摘 要:近年来,随着我国“立德树人”教学宗旨的提出,国家对学校的教学水平提出了更高的要求。思政课程一直在所有课程中占据着十分重要的位置,但是因为各种各样的原因,思政课程的课堂效率并不是很高。新的教学宗旨提出,教师的教学理念也应当跟随时代潮流...
四川农村中小学艺术教育师资队伍建设现状与对策
摘 要:之前我省发布了《四川省普通中小学体育艺术教育五年行动计划(2014-2018)》,经过数年努力,我省农村中小学音体美设备得以完善,教师队伍得到一定发展,但和预期目标还有一定距离。尤其是艺术教育师资队伍建设中,存在随着培训力度增加艺术...
正态分布的学习与现实意义
近一段时间以来本人一直在上应用工程学,相对于线性代数而言概率论部分的教学内容对于很多学生而言就不是那么友善,在教学过程中我也遇到了很多校内外督导的听课,他们中除去一小部分的专业类的老师以外大部分人对于概率论的印象始终停留在古典概型和大数定理...
浅谈《中华人民共和国新时代公民道德建设实施纲要》对当代大学生的价值指引与建议
摘 要:《中华人民共和国新时代公民道德建设实施纲要》立足于中国特色社会主义新时代的历史背景,阐释了公民道德建设的诸多新义,结合中国特色社会主义新时代的社会转型背景阐释了当代中国公民道德建设的新形势下,实现中华优秀传统道德文化的创新性现...
大数据背景下的高校人事管理工作机制创新
摘 要:随着科技的进步,大数据已经成为这个时代的标志,正带领着高校开创一个新管理体制,大数据对于传统的高校人事管理工作机制既是一个机遇又是一个挑战,高校通过在人事管理工作中的创新,才能够为国家提供优秀人才,促进社会发展,推动国家进步。本文就...
民办应用型高校虚拟仿真实训课程教学的几点思考
摘 要:实训课程在经管类高校中备受关注,在民办经管类院校尤为如此。当前有很多经管高校都开设有经管仿真综合实训课程,取得了良好的效果,但也不乏存在很多普遍性地丞待解决的问题。本文以广州工商学院为例,分析了《企业运营综合仿真实训》在教学中存在的...
新时期高校学生党支部建设的研究
摘 要:高校是培养人才的重要阵地,大学文化建设、校风建设、学风建设中,学生党员作为主力军,发挥了模范带头的先锋作用,新时期环境下高校学生党支部建设有必要进行更进一步的深入发展,将制约和影响党组织发展的因素消除,发挥出高校学生党员的带头作用,...
基于财务共享视角对财务应用型人才培养探讨
摘 要:随着人工智能、财务机器人、区块链、大数据、财务共享等科技技术的不断进步,人们的工作生活也越来越便利,人工智能、财务机器人代替人工扫描单据、合同等资料,使人从基层繁琐重复的工作中解放了出来,但这也对人才的培养提出了更高的要求。技术的进...
民办本科高校会计学专业实践教学体系“一融四合”模式建设研究
摘 要:随着国家对应用型人才要求提高,各个高校都应当引起高度重视,要根据其思想,调整与改善高校教学的各项工作。对于会计学专业实践教学来说,也应当在此思想的要求下,开展工作。本文针对四川GS学院会计学专业实践教学情况,通过调查问卷,进行剖析,...
高中物理电磁学自制教具的开发与应用
摘 要:对于大多数高中生来说,高中物理电磁学部分存在一定的难度,但是对于将来要从事电子工作的学生来说,电磁学部分又非常重要。因此,为了帮助学生学好这部分知识,高中物理教师应当合理开发自制教具,结合教具和教材传授电磁学的知识。 关键词:高中物...
我的生动课程分享
我是一名中学美术教师,在给我的学生讲授《平面装饰画》课程时,为了能让同学们很好理解这门课程特点,掌握好本专业知识要点,针对学生们的基础知识,更好的做好启发式教学,我精心设计了一堂多媒体课程--《线描装饰画》,本节课的教学取得了很好的效果。同...
浅析高职院校图书馆创新性建设探究
摘 要:随着高等职业教育的快速发展,对图书馆资源建设和服务方式的创新提出了新要求,研究图书馆的资源建设和服务理念的创新,对于高职院校有着重要意义。当前很多高职院校图书馆存在的问题较多,这些问题的存在影响了图书馆功能的发挥。 关键词:高职院校...

法治世界

浅析我国司法社会工作现状与模式探索
摘 要:国内学界对于司法社会工作介入社区矫正工作的关注随着矫正实践的日益深入而不断增长。社区矫正作为一项独立制度,在我国正式提出也不过十几年,由于执行刑罚的刚性特征与社区矫正的柔性特征及矫正对象自身利益保护需求之间矛盾的存在,理论研究和实践...
民商法与网络交易安全保护的关联性探讨
摘 要:随着网络技术和电子商务技术的快速发展,网络交易成为当前重要的交易方式之一。网络交易在具有诸多便利性的同时也存在一定的网络交易安全风险,要想提高网络交易的安全性,在不断完善交易方式和技术保障的同时也必须重视发挥相关法律的作用。文章基于...
我国个人信息刑法保护相关问题探讨
摘 要:随着信息技术的快速发展,利用互联网等手段窃取个人信息牟利的新型犯罪手段层出不穷,这就要求个人信息刑法保护也要与时俱进,逐步建立和完善个人信息的刑法理论体系。文章对我国个人信息刑法保护相关问题探讨并针对性的提出完善建议,为个人信息的刑...
著作权侵权损害赔偿的困境与优化
摘 要:著作权作为知识产权的一种,当其遭受侵权损害时存在赔偿方法难以确定、赔偿数额不明确以及赔偿责任不清楚等诸多问题。基于此,可通过完善著作权侵权赔偿方法、综合考虑确定法定赔偿额、运用许可使用费确定法定赔偿额、运用成本收益均值确定法定赔偿额...
公司股东知情权保护的法律机制简析
摘 要:本文拟结合公开案例,对我国公司法框架下对公司股东知情权的相关规定进行简要总结及分析,以期对市场主体作为股东尤其是少数股东参与公司出资的行为及其合法权益保护有所启示。 关键词:公司股东;知情权保护;法律机制 一、股东知情权的基础法律依...
民商法对私有财产保护的相关问题探讨
摘 要:民商法对私有财产保护具有平等性、被动性和补偿性,其对我国公民私有财产的保护具有重要的法律意义。民法典的实施进一步完善了对私有财产保护的内容和范围,是民商法的有益补充,但是就目前而言在法律体系建设、普法宣传以及监督机制等方面的问题仍不...
论违约精神损害赔偿
摘 要:违约精神损害赔偿没有违背等价交换原则和可预见规则,不会影响市场交易,也不会使违约金具有赌博性质或赋予法官过大的自由裁量权;责任竞合制度的弊端以及法院对现有规则的突破,都表明建立违约精神损害赔偿制度势在必行;《民法典》第996条并未建...
惩罚性赔偿制度的不足与完善
摘 要:随着社会经济的发展,惩罚性赔偿制度也在不断寻求完善,通过优化惩罚性赔偿金的计算、拓宽惩罚性赔偿制度的适用范围等诸多手段有效遏制不法行为主体的行为,起到了约束规制的作用。文章基于惩罚性赔偿金的计算方式、惩罚性赔偿制度的举证配置以及职业...
中国《民法典》颁行后的民商关系思考
摘 要:由于我国目前的《民法典》没有充分认识到民商之间关系的特殊性,很难满足社会对商法的要求。而古代罗马、德国、法国等立法经验表明,民法与商法发展的现实需要之间存在着无法克服的鸿沟。在实践中,《民法典》对民事主体区分没有现实的要求,从而造成...
浅析我国离婚冷静期制度的不足与完善
摘 要:《民法典》新设的离婚冷静期制度有效地降低了我国的高离婚率,维护了社会和谐和家庭稳定,但却也存在着适用范围期限不合理、缺乏相关配套措施等问题。为了更好地施行离婚冷静期制度,最大化的发挥其制度本身的作用和价值,应充分结合国内现状和域外经...
批评话语分析视角下刑事判决书特点研究
摘 要:当前我国刑事判决书研究主要集中在法律语言和判决书说理方面,但未有将刑事判决书作为一种话语实践而进行的研究,在批评话语分析视角下,刑事判决书作为话语具有的特点是:具有交际功能、有实践过程、其书写有特定目的。 关键词:批评话语分析;刑事...
新证据规则对鉴定活动的规制
摘 要:鉴定作为人民法院查明专门性问题的辅助判断手段,在以往个案的处理上一旦启动鉴定,鉴定起到的作用就是定局性的作用,一般就直接替代了人民法院的实质审查,这就是广为诟病的“以鉴代审”。另一方面,现实情况是鉴定机构因良莠不齐、准入门槛低等情况...
论WTO的争端解决机制
摘 要:WTO争端解决机制的贸易经济应用的同时需要花十分大的功夫,设计部分运营政策体系机制,尤其是WTO争端解决机制的贸易经济运营政策体系。一方面是货币运营政策体系,一方面是WTO争端解决机制的贸易经济运营政策体系,共同支持以及保持WTO争...
“丽土同性,晞阳异品”
摘 要:公安三袁与五四新文学运动二者因其所处的时代环境在经济、政治、文化等方面具有一定的共性,从而产生了内在联系。 关键词:公安三袁;五四新文学运动公安三袁,作为文学史上较为重要的文学家族之一,其文学理念对后世产生了深远的影响,距晚明三百余...

思政之窗

浅谈新形势下增强党校党性教育的路径
摘 要:新形势下的党校党性教育工作的科学合理开展,将会对今后党员的培养带来较大的影响,基于上述背景,本文分别从牢固党性教育基础、强化党性教育质量以及完善党性教育保障措施这三个方面,来论述了党校党性教育的有效完善路径,希望本文能够为全国各地党...
生态翻译学视角下《政府工作报告》的英文翻译
摘 要:本文运用胡庚申的生态翻译学理论,对2021年《政府工作报告》的英文翻译进行探讨。本文旨在通过语言维、文化维、交际维这三个维度探讨《政府工作报告》英文翻译的特点,表明从三维翻译理论视角翻译的政治文本贴近翻译生态环境。 关键词:生态翻译...
区县党校贯彻落实习近平关于干部教育培训重要论述的差距分析
摘 要:我们党历来重视干部教育培训。习近平总书记对加强党校建设、推进干部教育培训工作作出了很多重要论述。区县党校要依次为依据在发展中改进工作,首先要找准贯彻落实好这些重要论述还存在的问题,找准差距才能高质量推进党的干部培训工作。 关键词:干...
东盟数字经济法的系统化研究路径设计思路与建议
摘 要:当前,国内对东盟数字经济法的研究尚缺乏全面性、系统性。为更好地促进中国-东盟数字经济合作、规避相关域外法律风险,有必要对东盟数字经济规则体系的主要内容进行系统的挖掘、归纳、整理和分析。本文主要梳理相关系统化研究涉及的议题选择、指导思...
新时代党的建设的新特点
摘 要:新时代党的建设总体布局凸显了党的建设的新特点,强调党的政治建设的首要地位和统领作用,把党的纪律建设纳入其中,将党的制度建设贯穿党的建设全过程,深入推进反腐败斗争,更加注重党的建设的整体性和系统性。 关键词:新时代;党的建设;新特点进...
研究新时代国企党建工作与生产经营深度融合
摘 要:对于国企而言,高质量落实党建工作能够为企业建设与发展提供坚实的保障。在新时代背景下,作为国企,应该积极探寻党建工作与生产经营工作予以有机融合,创设凸显和谐意义的企业发展环境。本文将新时代国企党建工作与生产经营深度融合的意义作为切入点...
提高医院思想政治工作实效性探索
摘 要:对于当下医院的发展来说,思政工作作为重要的力量不可忽视。尤其是随着青年医护在整个医院的队伍中所占比例越来越大,也使得在医院的发展与管理工作存在的问题越来越多。应当结合新时代下青年医务的具体特点来开展思政教育工作,以此来提升他们的综合...
《论十大关系》的基本内容及其当代价值
摘 要:《论十大关系》是毛泽东晚年着手探索中国社会主义建设道路的一个硕果。它的历史功绩在于提出了探索中国自己建设道路的任务,奠定了当代中国改革开放和建设中国特色社会主义最初的理论和政策基础。在新的历史情况下,《论十大关系》中体现出的重视粮食...
基于行政法的社会治理现状与完善
摘 要:现代化、法治化的社会治理模式是保障国家社会经济稳定发展和长治久安的重要保障。随着近年来行政法在社会治理中的不断落实与推进,我国的社会治理取得了可喜成就。但是就目前而言,我国在社会治理层面仍存在社会治理体系有待加强、行政法律法规还不够...
浅谈如何抓好企业文化建设提升队伍凝聚力
摘 要:企业文化建设是一项较为复杂和具有挑战性的工作,如何将我国的传统文化与现代的科技文化融汇于企业阵地,是激发队伍活力、提升队伍凝聚力、战斗力,推动石油企业各项工作的不断发展和进步的有效途径。倡导用先进的文化思想引导和影响员工树立爱岗敬业...
新时代政务微信订阅号在科技传播中的创新研究刍议
摘 要:本文分析新时代下科技政务微信订阅号传播现状、传播科技政务存在的问题及对策,提出科技政务微信订阅号传播科技政务的创新策略,期望通过研究提升科技政务微信订阅号的传播效果,促进我国科技事业的创新发展。 关键词:政务微信;科技传播;创新策略...
新时代促进网络爱国主义有序发展的思考
摘 要:随着网络空间成为人们精神活动的主要场所之一,爱国主义的发展也顺应时代潮流,从现实空间扩展至网络空间。新时代需要从坚持内容为王、创新传播形式、瞄准重点群体、完善立法监管等多方面思考,掌握好意识形态主动权,促进网络爱国主义有序发展。 关...
党以人民为中心的防疫政策和社会对策
摘 要:2020年春季爆发的新冠肺炎疫情,给社会和国家带来了沉重的打击。但得益于伟大的、光荣的、正确的党的领导,得益于当以人民为中心的防疫政策和社会对策,我们国家迅速度过了这一危局。党在此次疫情中的人民中心立场,值得我们深入研究学习。 关键...
新时期加强供水企业思想政治工作的探讨
摘 要:新时期新作为,用发展的眼光,时代的要求,改革的精神来审视、创新和推动思想政治工作,注重思想政治工作的针对性、科学性,群众性,思想政治工作必将取得突破性的实效。 关键词:供水企业;思想政治工作;以用户为中心;优质用水习近平总书记对思想...
个体社会化视角下的教育与社会和谐
摘 要:社会和谐是社会发展的重要目标,社会和谐需要全体社会公众共同努力,个体受教育的场所即个体社会化的环境在很大程度上左右着个体的行为,进而影响社会和谐,鉴于此,特殊群体的教育对社会和谐的意义更是重大,值得探索。 关键词:个体社会化,教育,...
国有企业5G时代新闻宣传工作策略
摘 要:目前,我们已经逐步的进入到5G时代当中,在这样的背景下,舆论传播整体格局发生了翻天覆地的变化,使得传统的传播方式和意识形态得到改变,这也为新闻宣传工作的开展带来了新的生机和挑战。因此,在现阶段,国有企业在这样的背景下一定要做出相应的...
完善“直通车式”在线沟通平台,助推“亲”“清”新型政商关系长效机制构建
摘 要:建立亲清统一发展的新型政商关系,需要政商双方共同参与而非只依靠单方作为就能有效构建,其基础是政商之间平等沟通和交流的制度化、公开化和精准化,以形成有效的政府决策。因此,打造健康实效的高质量政商平等互动平台既是保持亲清新型政商关系健康...
90后新生代员工满意度调查分析及策略研究
摘 要:企业面临的外部环境越来越严峻,只有提高员工满意度,才能提高员工的工作积极性,实现组织绩效目标。本文以X公司90后员工为案例进行满意度调查,并提出针对性策略。 关键词:90后;员工满意度;策略研究 一、研究背景在经济全球一体化的背景下...
出台三孩政策的必要性
摘 要:文章从三孩政策实施的原因和政策的影响两个方面对实施三孩政策的必要性进行阐述,从人口发展趋势、生育水平、人口老龄化三个角度阐明了出台三孩政策的原因,进而从三孩政策可能产生的正负面分析了国家三孩政策的实施可能产生的影响。 关键词:三孩政...

文化艺术

新乡市博物馆藏河南籍书画名家作品赏析
摘 要:新乡市博物馆藏书画作品数量多、种类广,除了有董其昌、赵孟頫等历代名家作品,也有河南本土籍书画艺术家的作品。本文遴选出多幅河南本土书画艺术家作品,愿来者以一沙观大千、以一叶知自然,走入中国书画的艺术世界。 关键词:书法艺术;绘画风格;...
电影《英雄》中的影视美术设计及其作用
摘 要:张艺谋作为一位具有独特艺术风格标识的导演,创作了一部又一部的经典影视作品,他的作品首先是叙事的独特性,以“第五代”共有的特殊历史阶段为记忆所进行的历史反思,但是其更为重要的则是在影片整体风格的创造上所显现的独特艺术魅力,这种风格的塑...
浅析马尔库塞《爱欲与文明》中的人与自然
摘 要:马尔库塞《爱欲与文明》中包含着大量人与自然的关系问题,他对弗洛伊德的理论展开了深入地分析和研究。弗洛伊德认为人与自然之所以会发生冲突是由于在原始本能下人性的“放荡不羁”所造成的,要想使人类能够持续文明就要压制人的性欲。马尔库塞继承和...
他我之异、寻根之同:《走向花山》与《花山壁画》
摘 要:1984年杨克对花山岩画进行了主动融入式的激情歌唱;1990年黄神彪对花山岩画进行了“灵魂归属”式的民族写作。《走向花山》与《花山壁画》体现了杨克与黄神彪在“他者”与“我者”不同视角下的花山文学创作之异:激情抒怀与民族史诗的风格之异...
青年亚文化的呈现方式与意义研究
摘 要:技术赋权下,青年亚文化占的比重愈来愈大,形成与主流文化对峙的局面。本文拟通过分析青年亚文化的呈现方式,包括传播符号、传播内容以及传播形式三方面内容,进而探讨青年亚文化对社会带来的影响。从而得出结论:青年亚文化正成为不可逆转的时代潮流...
地方志如何突显地域特色
摘 要:地方志作为地域特色展示的重要载体,也应当承担起全面反映地域文化特色的责任。在地方志中,自然部类、文化部类、社会部类是凸显地域特色的重要内容,因此,为了更好地突显地域特色,地方志应当进一步加强篇目设计,充分利用多种表现形式,深入挖掘资...
中国网络文学海外发展趋势分析
摘 要:为了促进中国网络文学海外输出将更加专业化、智能化,本文通过对中国网络文学海外用户规模、创作模式、内容规模、翻译模式的分析,总结出未来随着AI翻译逐渐广泛运用,网络文学出海产业的内容供给能力将大幅提升,整个作品翻译更加体系化和效率化。...
原型触发的圈态循环:花山岩画与“百越境界”
摘 要:1984年杨克写下激情喷涌的《走向花山》,1990年黄神彪写下了长篇民族散文史诗《花山壁画》,二者都是“百越境界”的经典范例,体现了不同视角下的花山文学创作之异,最终二人都认为花山岩画是壮族文化的摇篮和文化之元。“百越境界”理论的浪...
明朝耿氏家族与湖北黄安地区的文教发展
摘 要:明朝中后期,黄安地区以耿氏家族为首,积极创建书院,讲学论道蔚成风尚,黄安成为鄂东地区的新兴学术据点,文教渐兴。黄安地区文教的发展还与移民运动、经济发展以及当地以耿氏为代表开展的学术活动密切联系。 关键词:明朝;鄂东;黄安;耿氏家族;...
文化认同视角下的档案文化资源开发策略
摘 要:当前社会文化逐渐向着多元化发展,在不同文化的影响下社会面临着诸多的文化认同的迷茫,作为社会重要的文化承载物,档案文化资源是有效破解迷茫和危机的法宝,能够实现文化认同的特殊价值,增强人民的文化自信和精神世界充足。所以,必须要重视利用档...
自贡井盐元素在文创作品中的应用
摘 要:自贡的井盐是四川的代表文化之一,天车作为井盐文化的标志性产物、珍贵的文化遗产,我们将天车融入文创作品中,创新其外观形式开发它的经济、人文历史价值。 关键词:天车;文创;应用;生命力;文化遗产天车作为千年盐都辉煌的历史标志性遗存,随着...

科技前沿

科教融合模式下Python-C的WIFI巡线避障车的实验教学研究设计
摘 要:基于Python & C的WIFI巡线避障小车的研究目的是为了提高人们日常生活的质量,在自动驾驶、货物运输方面起到了奠基的作用,为未来科技的发展夯基垒台。 关键词:巡线避障;C & Python;科技 一、引言科技的...
基于TensorFlow Serving的模型部署应用及实践
摘 要:深度学习通常需要把训练好的神经网络模型部署到生产环境中,并能够以服务的形式提供给生产应用。常用的两种方案是基于Flask和基于TensorFlow Serving。本文先对TensorFlow Serving框架进行介绍,然后对环境...
辅助学习APP的设计与实现
摘 要:随着信息技术的普及,教育行业也逐渐走向了智能化、科技化。所以,在高校也出现了越来越多的新技术来辅助传统的课堂教学,这其中,尤其以APP居多。本文介绍了基于Python的Django框架的辅助学习APP系统的设计与实现,该系统界面简单...
基于SpringBoot的疫情可视化分析实验教学研究系统
摘 要:本作品是依托于数据采集技术,然后将采集结果预处理后存至数据库,之后通过Java后端编程来提供数据接口,最后通过HTML和 ECharts进行信息可视化界面设计。通过此作品,我们可以清晰的看到每日疫情数据的变化和历史疫情数据变化,方便...
人工智能AI物体识别智能垃圾回收系统实验教学研究与设计
摘 要:通过对垃圾的识别,从而实现对垃圾的分类。有6种功能,人脸识别,物体追踪,物体识别,巡线追踪,颜色识别,标签(二维码)识别。仅需一个按键即可完成AI训练。HuskyLens板载UART/I2C接口,可以连接到Arduino、Raspb...
基于互动性视角对比分析“游云南”和“小红书”APP
摘 要:“一部手机游云南”是由云南省人民政府、腾讯公司联合打造的一个全域旅游数字化平台,通过“游云南”APP为游客提供各项智慧旅游服务。“游云南”作为一款旅游APP,在消费者更加注重实际体验的背景下,其平台不仅需要满足用户获取吃、住、行及特...
简要分析化工仪表常见故障与检修方法
摘 要:从安全生产和生产质量控制的角度分析,研究并改善石油化工自动化控制仪表应用中的常见故障的检修方法,则对于石油化工行业的稳定发展,以及相关自动化控制仪表装置应用水平的提升意义重大。 关键词:化工仪表;常见故障;检修方法;分析石油化工行业...
基于云服务的广电IT架构建设思考
摘 要:随着时代的飞速发展,人们的生活水平日益提高,对广电行业的要求也越来越高。其中云服务相对于广电行业的关系就好像机器相对于人一样的至关重要。脱离了云服务的广电行业将面临资源分配浪费、业务不熟效率低下、沟通成本上升、加大工作人员工作负担等...
电动汽车电驱系统发展现状及趋势研究
摘 要:汽车发展100多年来,改变了人们的出行方式,带来极大的便利。但是燃油汽车排放引起严重的环境问题,节能减排成为全球共识。在此背景下,电动汽车蓬勃发展,但目前仍处于在电动汽车发展的初级阶段,面临着各自问题。其中制衡电动汽车发展的就是电驱...
124MW燃机发电机转子烧损事故的系统分析与优化改进
摘 要:通过一起燃机发电机在运行过程中解列停机事故,系统的分析转子烧损原因,对导电螺杆、轴向引线、端部垫块、匝间绝缘结构及相应工艺措施进行优化改进,有效的保证设备的持续稳定运行。 关键词:发电机;导电螺杆;轴向引线;端部绝缘垫块;槽绝缘 A...
一种具有对比功能的水环境监测用取样装置
摘 要:本文介绍了一种具有对比功能的水环境监测用取样装置。通过取样箱与第一取样室、第二取样室以及第三取样室相互配合,取样装置根据需求一次性对不同深度的水进行取样收集,提高便捷性,通过第一卡合架与第二卡合架相互配合,能够限位固定多组取样瓶进行...
2017年沿河自治县玉米喷施吨田宝效果试验总结
摘 要:玉米吨田宝是由中国农业科学院作物研究所研制的国家发明专利产品,是新型玉米抗逆、增产、防倒伏专用系列调节剂产品,在玉米整个生育周期,只需使用1~2次,即可达到培育壮蘖、建构高产合理群体、防倒伏、改善品质、提高产量的功效。 关键词:玉米...
有机蔬菜种植技术要点及其发展对策
摘 要:在现今人们生活水平日渐提升中,其越发重视食用蔬菜的有机、绿色等要素,人们对其提出了极高的要求,这也表明人们越发重视食物的安全性及健康性,而这也为有机蔬菜种植提供了较大的发展空间,但其中也含有较多的挑战。由此,有机蔬菜种植基地就需要研...
瓜果类蔬菜设施栽培的要点分析
摘 要:瓜果类蔬菜是人们生活中的必须品,可以为人体提供所需的维生素等营养支持,也正因为如此,提高瓜果类蔬菜的质量和产量也成为社会中的一大热点问题。但是实际上,瓜果类蔬菜的栽培受季节影响比较大,在天然无人工干预的情况下,无法满足市场的供应,在...
乳酸菌在辣椒酱发酵工艺中的应用研究
摘 要:发酵食品以其特殊的营养、风味引起了人们的普遍重视。在中国传统辣椒制品中,辣椒酱是极为关键的组成部分,而近几年来乳酸菌研究以及农产品加工技术的不断发展和进步,纯种发酵辣椒酱已经越来越成为全新的研究话题。为了能够掌握其应用现状,要深入分...
芋头无公害种植技术要点分析
摘 要:随着经济社会的发展和进步,绿色健康无公害的芋头在市场上的需求量越来越大。同时,芋头作为重要的蔬菜和粮食作物,由于其较高的营养价值在市场需求中的地位越来越高,而且由于芋头还可以作为经济作物进行酿酒制作,这就导致越来越多的农户在种植农作...
特色香辣酱调味配方及技术分析
摘 要:如今,随着人们生活质量不断提高,对食品的要求也越来越高,酱类食品可以说是人们在日常生活中比较喜爱的佐料。其中特色香辣酱辣能够刺激人的味蕾,还能丰富食物的口味,是大多数人在平时饮食中不可缺少的佐料。基于此,需要对特色香辣酱调味配方和技...
分析白菜种植技术的推广与应用
摘 要:白菜作为一种十分常见的蔬菜,受到人们的普遍欢迎,并且具有稳定的市场。白菜每年都能够达到高产量,能够增加农民的收益。在种植大白菜时,经常会存在着很多问题,因此,要想提升白菜的产值和品质,就需要应用良好的种植技术。针对于此,本文进行了相...
红米发展前景及栽培技术分析
摘 要:红米水稻是传统水稻品种中的一种,尽管成熟期比较长,却富含着非常高的营养价值,是制作米粉的最佳原料,深得广大消费者的喜爱。现阶段,红米水稻品种多以地方种为主,受长期人工选种的影响,产量与质量略为偏低,因此,想要提高地方种产量和质量,需...
浅谈大米中无机砷的测定
摘 要:我国社会经济的发展并没有影响农业在我国社会经济中的重要地位,这也得益于我国从古代开始就注重农业的发展,农业也一直作为人们收入的重要组成部分而存在。在农业结构中,大米的生产是其非常重要的部分之一。农业发展推动经济的发展,而经济的发展反...
基于牛羊青贮饲料的加工利用研究
摘 要:畜牧业的长远平稳发展对保障我国人民正常生活以及社会的常治久安有着重要作用。牛羊的青贮饲料的加工与利用是畜牧业长远发展的基本保障,所以近些年来随着我国农牧行业的不断发展,牛羊青贮饲料的加工利用技术的研究也开始被有关人员开始重视起来。但...
抗生素治疗牛羊细菌性疾病的要点分析
摘 要:近些年来,随着我国经济的不断进步与发展,人民的生活水平直线上升,人民日常生活中对牛羊肉的需求量逐渐增加,有效地推动了牛羊养殖行业的快速发展。在牛羊的养殖过程中,牛羊的疾病治疗成为困扰养殖人员的重要问题,其中细菌性疾病属于牛羊养殖中的...
基于土壤肥料影响农产品质量的因素研究
摘 要:为了提高我国的国民经济水平,需要保证农业在社会中的稳定发展,在满足人们日益需要的基础上,提高土壤肥料的质量,避免对农产品质量带来影响。但是,在对当前的农业生态环境进行分析时,发现其形式非常严峻。因此,要想进一步提高农产品质量,需要优...
在干部教育培训中加强融合式教学创新
摘 要:干部教育培训是促进干部成长,打造满足组织需求的干部队伍的有力保障。随着现代化教育技术的提高,干部教育培训也面临新的机遇和挑战。融合式教学可根据教学需要选择教学方式和教学方法,是当前干部教育培训的一个创新方向。本文分析了干部教育培训中...
相关杂志
订阅全年后,您可享受以下权益
①该本杂志即日起至未来1年内所有更新电子版杂志的使用权限;
②赠送该杂志的部分往期的杂志的使用权限,有效期1年。

全年订购价格: ¥144.00

订阅全年
--%>

登录龙源期刊网

温馨提示:

1.点击网站右上角的“充值”按钮可以为您的账号充值

2.充值金额可以选择30,50,100或500元

3.充值成功后即可购买网站上的任意杂志或文章

还没有龙源账户? 立即注册

购买杂志

客联

杂志价格:¥6.00元

  • 微信扫码支付
  • 当前余额:100.00

购买杂志

客联

杂志价格:¥6.00元

  • 微信扫码支付
  • 当前余额:¥100.00

    去充值
monitor
客服机器人