注册帐号丨忘记密码?
1.点击网站首页右上角的“充值”按钮可以为您的帐号充值
2.可选择不同档位的充值金额,充值后按篇按本计费
3.充值成功后即可购买网站上的任意文章或杂志的电子版
4.购买后文章、杂志可在个人中心的订阅/零买找到
5.登陆后可阅读免费专区的精彩内容
打开文本图片集
一、问题的提出
大学生的体质健康和心理健康不仅关系着其自身的全面发展,还关系到国家和民族的未来。《健康中国行动(2019—2030年)》高度关注大学生的体育参与水平和体质健康状况,要求媒体加大健康科学知识宣传力度,利用新媒体拓展健康教育①。
当前,社交媒体已经成为人们生成、获取、分享健康及体育信息最广泛的渠道②,甚至有青年在运动健身实践中形成了对它的信息依赖③。(剩余16388字)
登录龙源期刊网
购买文章
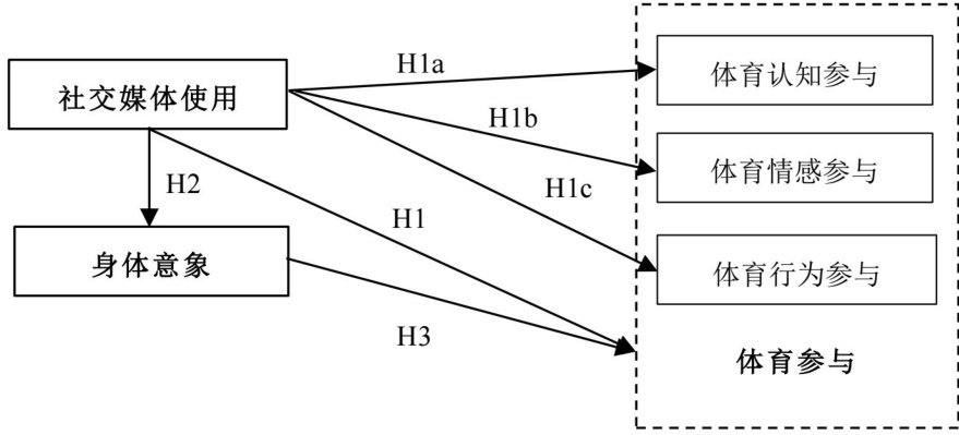
社交媒体使用对大学生体育参与的影响:身体意象的中介作用
文章价格:6.00元
当前余额:100.00
阅读
您目前是文章会员,阅读数共:0篇
剩余阅读数:0篇
阅读有效期:0001/1/1 0:00:00