注册帐号丨忘记密码?
1.点击网站首页右上角的“充值”按钮可以为您的帐号充值
2.可选择不同档位的充值金额,充值后按篇按本计费
3.充值成功后即可购买网站上的任意文章或杂志的电子版
4.购买后文章、杂志可在个人中心的订阅/零买找到
5.登陆后可阅读免费专区的精彩内容
打开文本图片集
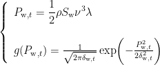
中图分类号:TM721 文献标志码:A 文章编号:1000-1646(2025)06-0711-10
近年来,风能和太阳能等可再生能源的应用技术得到了快速发展。这些能源因其清洁、可再生的特性,被广泛认为是未来能源结构的重要组成部分。然而,风能和太阳能发电受自然条件影响较大,具有明显的间歇性和波动性。(剩余20329字)
登录龙源期刊网
购买文章
不确定性高比例风光荷接入区域电网末端低电压快速调节算法
文章价格:6.00元
当前余额:100.00
阅读
您目前是文章会员,阅读数共:0篇
剩余阅读数:0篇
阅读有效期:0001/1/1 0:00:00