注册帐号丨忘记密码?
1.点击网站首页右上角的“充值”按钮可以为您的帐号充值
2.可选择不同档位的充值金额,充值后按篇按本计费
3.充值成功后即可购买网站上的任意文章或杂志的电子版
4.购买后文章、杂志可在个人中心的订阅/零买找到
5.登陆后可阅读免费专区的精彩内容
打开文本图片集
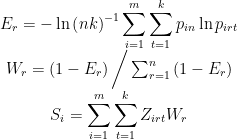
中图分类号:F270.7;F272.9 文献标志码:A文章编号:1674-0823(2025)06-0639-13
当前,我国外部环境呈现出多变性、不确定性、复杂性和模糊性的VUCA特性,“黑天鹅”“灰犀牛”事件频发,企业的生存和发展因此遭受巨大冲击。内部环境由经济高速增长向高质量发展转变,企业面临市场竞争加剧、技术更新迭代升级、资源环境约束以及市场需求不确定等挑战。(剩余18224字)
登录龙源期刊网
购买文章
双元创新视角下企业数字化转型对组织韧性的影响研究
文章价格:6.00元
当前余额:100.00
阅读
您目前是文章会员,阅读数共:0篇
剩余阅读数:0篇
阅读有效期:0001/1/1 0:00:00