注册帐号丨忘记密码?
1.点击网站首页右上角的“充值”按钮可以为您的帐号充值
2.可选择不同档位的充值金额,充值后按篇按本计费
3.充值成功后即可购买网站上的任意文章或杂志的电子版
4.购买后文章、杂志可在个人中心的订阅/零买找到
5.登陆后可阅读免费专区的精彩内容
打开文本图片集
中图分类号:O441.2 文献标识码:A DOI:10.19655/j.cnki.1005-4642.2025.11.008
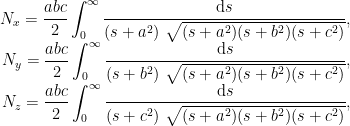
磁各向异性是决定磁性材料的磁化行为和应用性能的核心物理属性之一[1-3].在铁磁材料中,磁各向异性决定了磁化容易发生的方向,同时影响磁翻转的能耗与磁响应速率.磁各向异性主要来(剩余11536字)
登录龙源期刊网
购买文章
基于退磁因子的磁各向异性计算与实验验证
文章价格:6.00元
当前余额:100.00
阅读
您目前是文章会员,阅读数共:0篇
剩余阅读数:0篇
阅读有效期:0001/1/1 0:00:00