注册帐号丨忘记密码?
1.点击网站首页右上角的“充值”按钮可以为您的帐号充值
2.可选择不同档位的充值金额,充值后按篇按本计费
3.充值成功后即可购买网站上的任意文章或杂志的电子版
4.购买后文章、杂志可在个人中心的订阅/零买找到
5.登陆后可阅读免费专区的精彩内容
打开文本图片集
中图分类号:0175 文献标识码:A文章编号:1005-7897(2025)23-0157-03
0引言
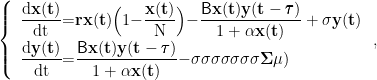
目前,很多学者对森林病虫害在生态、技术和管理等层面进行了探讨[1-2]。但是在森林病虫害的治理中,媒介昆虫、土壤等都是植物传染病的传播媒介,因此植物传染病的传播机制对森林病虫害的治理有着重大影响。(剩余4477字)
登录龙源期刊网
购买文章
具时滞的植物传染病模型的Hopf分支
文章价格:4.00元
当前余额:100.00
阅读
您目前是文章会员,阅读数共:0篇
剩余阅读数:0篇
阅读有效期:0001/1/1 0:00:00