注册帐号丨忘记密码?
1.点击网站首页右上角的“充值”按钮可以为您的帐号充值
2.可选择不同档位的充值金额,充值后按篇按本计费
3.充值成功后即可购买网站上的任意文章或杂志的电子版
4.购买后文章、杂志可在个人中心的订阅/零买找到
5.登陆后可阅读免费专区的精彩内容
打开文本图片集
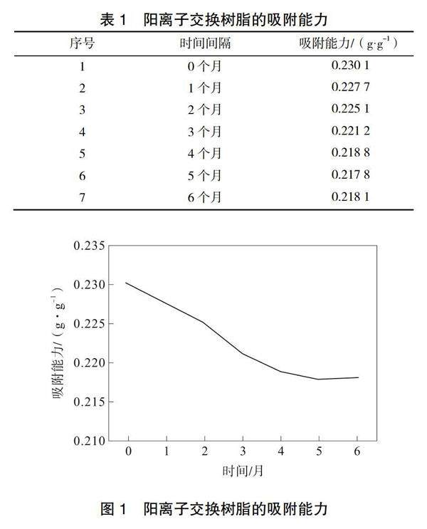
摘 要: 左卡尼汀生产工艺中使用的阳离子交换树脂是一种颗粒均匀、品质高的强酸型大孔树脂,其处理能力大,可以反复再生使用,工作寿命长。本研究考察了阳离子交换树脂吸附左卡尼汀的能力及洗脱左卡尼汀时的放热情况,有效延长了阳离子交换树脂的运行周期,对实际生产具有重要的指导意义。(剩余5326字)
登录龙源期刊网
购买文章
阳离子交换树脂在左卡尼汀生产中的应用与研究
文章价格:4.00元
当前余额:100.00
阅读
您目前是文章会员,阅读数共:0篇
剩余阅读数:0篇
阅读有效期:0001/1/1 0:00:00