中国资源综合利用

中国资源综合利用

2025年11期
  • 收藏
收藏成功
微博 空间 微信
《中国资源综合利用》杂志系由国家发改委环境和资源综合利用司指导,中国物资再生协会和物资再生利用研究所共同主办,固体废弃物...     展开

类型

月刊

类别

定价
促销信息
全年订阅更优惠!
¥22.00 ¥13.29
目录

试验研究

阳极炉烟灰中铜、锌的回收工艺研究
摘要:作为铜火法冶炼过程的重要产物之一,阳极炉烟灰含有铜、铅和锌等有价金属元素,因此需要对其进行资源化回收。目前,湿法浸出是铜冶炼烟灰中金属的主流回收方法,尤其是硫酸浸出,具有环境友好、回收效率高等优势。以阳极炉烟灰为试验原料,在氧化剂作用...
气浮-MBR耦合工艺对铝型材脱脂废水乳化油的分离效能研究
摘要:试验采用气浮-膜生物反应器(MembraneBio-Reactor,MBR)耦合工艺处理铝型材脱脂废水,重点提升乳化油的分离效能,考察絮凝剂投加量和水力停留时间(Hydraulic Retention Time,HRT)对处理效果的影...
硅铝基含铂、钯废催化剂浸出试验研究
摘要:铂、钯具有良好的化学稳定性和催化活性,常被用作催化剂的活性组分,被广泛应用于石油化工、环境治理及能源转换等领域。硅铝基载体含铂、钯催化剂比表面积大,抗烧结性能优异,在高温、高毒场景中仍能保持良好的催化活性。但随着使用时间的延长,催化剂...
多种贵金属富集惰性物料化学分析方法研究
摘要:研究一种同时测定多种贵金属富集惰性物料中铂、钯、铑、铱、钌、金和银的化学分析方法。对样品进行研磨、灼烧、氢还原和微波消解等处理,增强其活性,提高酸浸出率。采用标准加入法配制铂、钯、铑、铱、钌、金和银的混合标准溶液,选择合适的谱线,通过...
失效高硅 Al2O3 载体Pt/Pd催化剂浸出工艺研究
摘要:针对含有较高 SiO2 的 Al2O3 载体失效催化剂回收难题,提出“碱浸 + 弱酸浸出”富集工艺。该工艺通过控制碱加入量、浸出温度、盐酸浓度、液固比等条件实现工艺参数优化,可在高效富集 Pt 、Pd的同时避免Si元素进入浸出液。...
高杂质碱式碳酸铜的浸出工艺研究
摘要:以高杂质碱式碳酸铜为试验原料,通过硫酸浸出、直接中和实现铜的高效回收,并分析原料状态、硫酸用量、反应温度及时间对铜浸出率的影响。为控制浸出液终点 ΔpH 值满足后续工序,并尽量降低渣中铜含量,针对酸浸矿浆进行直接中和试验。研究表明,在...
铝灰渣回收与资源利用研究
摘要:铝合金型材应用非常广泛,但是加工过程会产生大量铝灰渣。以铝灰渣回收利用为研究目的,对熔炉铸造灰渣及铝型材氧化处理废液灰渣取样,采用化学成分分析和物相分析确定灰渣成分及相结构,并测定灰渣在电解液中的溶解度。结果表明,铸造铝灰渣的氧化铝含...
硫酸铵辅助氧化焙烧回收废旧磷酸铁锂电池中锂的工艺研究
摘要:针对废旧磷酸铁锂( LiFePO4 ,LFP)电池的资源化回收需求,采用硫酸铵辅助氧化焙烧-水浸法,从废旧LFP正极材料中选择性提取锂。通过系统优化焙烧温度、物料比和焙烧时间等参数,确定最佳工艺条件。当焙烧温度为 400°C...

应用研究

生态修复技术在农村污水处理过程中的应用
摘要:随着农村经济的发展,污水排放问题日益突出。传统污水处理模式面临成本高、运维难等挑战。生态修复技术凭借低碳环保、运行稳定等优点,逐步成为农村污水治理的重要方向。梳理农村污水的主要来源及特点,重点探讨人工湿地、生态塘等生态修复技术的原理与...
水生植物修复技术在湖泊富营养化治理中的应用研究
摘要:湖泊富营养化已成为全球性水环境问题,严重威胁生态系统健康与人类生存。基于此,从湖泊富营养化的成因入手,深入分析水生植物修复技术的作用机制,并提出具体应用措施。研究表明,水生植物修复技术是一种高效、环保的湖泊富营养化治理手段,合理应用该...
多水源多用户水资源配置模式优化
摘要:为提高北流河流域水资源配置效率与生态保护水平,采用多目标优化模型和改进型非支配排序遗传算法(Non-dominated Sorting Genetic Algorithm ⅡI,NSGA-ⅡI)进行研究,分析不同水文情景下的供需匹配、...
地表水体污染监测技术在水资源保护中的应用研究
摘要:随着工业化与城镇化进程的加快,地表水体污染问题日益严峻,威胁生态安全和人类健康。研究当前主流地表水体污染监测技术,分析其技术原理与适用范围,探讨这些技术在水质预警、治理评估及环境执法等水资源保护场景中的具体应用,并提出通过技术联用、动...
重金属形态分析在水环境监测中的应用探索
摘要:重金属在水环境中的存在形态直接影响其毒性、迁移能力及生物可利用性。精准分析其形态,是全面评估水体重金属污染、制定有效防控策略的关键。系统剖析传统分析方法与现代分析方法的原理,并结合实际案例,分析重金属形态分析在地表水监测、地下水监测、...
基于多源遥感技术的分布式光伏可开发资源评估方法
摘要:为了提升分布式光伏可开发资源评估的精度,采用多源遥感技术对复杂地形和城市环境中的光伏资源进行精细化评估。通过融合GF-2高分辨率光学影像、Sentinel-1合成孔径雷达(Synthetic ApertureRadar,SAR)数据、...
环境管理咨询在企业生态环境管理中的应用研究
摘要:环境管理咨询作为衔接政策要求与企业实践的枢纽环节,在推动企业绿色转型中发挥着关键作用。聚焦环境管理咨询在环保政策解析、风险防控及管理标准化等核心环节的应用机理,揭示当前市场存在的服务标准缺失、企业认知偏差、人才储备断层等现实困境,并提...
污染场地地质调查方法研究与应用
摘要:污染场地地质调查是环境风险管控与土地安全利用的基础性工作。以实际场地为研究对象,构建历史溯源、空间筛查、精准验证于一体的调查方法体系,并通过实际应用验证其实用性。调查发现,该场地地下环境存在一定的重金属污染。历史溯源表明,产生污染的主...
高效除尘技术在工业大气污染控制中的应用研究
摘要:单一除尘技术难以应对多源复合型污染物排放压力,需构建多元化协同系统,实现颗粒物源端控制与末端净化的整体优化。基于此,分析工业大气污染特征及高效除尘技术的类型,探讨静电除尘、旋风除尘、袋式除尘、湿式除尘等技术在工业大气污染控制中的具体应...
芬顿工艺在印花废水深度处理中的应用研究
摘要:印花加工作为纺织产业链的关键环节,生产过程中产生的废水具有污染物浓度高、水量大、色度深等特点。这类废水主要来源于印花后的皂洗和水洗工序,由于生产中使用不同种类的浆料、染料及化学助剂,废水成分复杂,处理难度较大。通过工程实例,分析芬顿工...
餐厨废弃物资源化利用项目臭气分类治理工艺优化与工程验证
摘要:随着城市化进程的加速,城市人口规模急剧膨胀,餐厨废弃物数量激增,恶臭污染治理需求扩大。餐厨废弃物处理过程会释放 H2S / NH3 等恶臭气体,不仅威胁人体健康,更易引发居民环境投诉。为此,以某处理规模 250t/d 的餐厨废弃物资源...
声波吹灰技术在锅炉尾部灰分资源利用中的应用
摘要:燃煤锅炉是一种通过燃烧煤炭来产生热能的设备,长期处于高温高尘气流环境,尾部受热面极易形成灰垢沉积。传统机械或蒸汽吹灰方式存在能耗高、冲蚀强、清理不均等弊端,难以满足现代锅炉节能与资源化利用要求。针对锅炉尾部积灰致使热效率下降与灰分利用...
露天煤矿开采过程中生态环境影响与综合治理技术研究
摘要:利用景观破碎化指数等量化手段剖析生态影响机理,建立“实时监测—智能修复一精准决策”数字化综合治理技术体系,整合地面传感器网、无人机遥感、机器学习以及数字孪生等信息技术,采集三维生态数据并智能化优化修复方案,以数字化形式展示生态系统的修...
岩土物理力学性能检测在地质灾害防治中的应用研究
摘要:为提升地质灾害防治的科学性与精准性,围绕岩土物理力学性能检测技术开展系统研究,并设计一套可用于评估地质灾害危险性的技术体系。研究表明,基于物理力学参数的灾害识别与预警具有良好的适应性与实用价值,为灾害防控工程提供了技术支撑。...
数字技术在水资源监测管理中的应用
摘要:数字技术的快速发展为解决水资源监测管理中的动态性、复杂性问题提供了重要突破口。系统探讨物联网、大数据、人工智能等数字技术在水质水量监测、资源调度决策、区域协同管理中的实践优势,揭示技术应用对数据实时性、决策科学性和治理协同性的改进机制...

综合利用

基于可持续利用的土地资源保护研究
摘要:随着城镇化进程的加快与生态环境压力的加剧,土地资源的可持续利用成为实现高质量发展的核心议题。从促进土地资源可持续利用的重要性出发,系统分析当前土地资源保护存在的问题,包括土地管理制度不完善、土地利用方式粗放、土地资源保护技术丞待创新及...
健全河道防汛体系对水资源可持续利用的影响及建议
摘要:在全球气候变化的大背景下,极端天气事件愈发频繁。我国水资源时空分布不均,洪涝灾害频发,给水资源的合理开发与利用带来严峻挑战。围绕健全河道防汛体系对水资源可持续利用的影响展开研究。基于我国水资源现状以及河道防汛体系发展情况,阐述健全河道...
石油钻井中的钻屑回收与再利用技术研究
摘要:石油钻井产生的钻屑处置不当,会对环境造成污染,同时造成资源浪费。围绕石油钻井钻屑回收与再利用技术,系统梳理钻屑回收技术体系,涵盖机械分离、化学处理及组合回收技术集成。在再利用途径上,从建筑材料、工业原料、农业与生态领域阐述钻屑的多元应...
基于环境保护的煤矿废弃物综合利用研究
摘要:为了解决煤矿开采带来的生态环境问题,推动煤炭行业绿色转型,从煤矿废弃物的综合利用视角切入,系统分析煤研石、煤泥、煤矿废水等典型废弃物对矿区环境的影响,重点探索当前煤矿废弃物资源化利用的先进技术路线,总结成功的实践经验。研究表明,煤矿废...
推动中小型露天煤矿绿色发展与资源利用的路径探讨
摘要:中小型露天煤矿是我国重要的煤炭供应来源,在保障国家能源安全、促进区域经济发展等方面发挥了重要作用。受自然条件、技术装备等因素限制,中小型露天煤矿普遍存在资源利用率低、生态破坏严重、环境污染突出等问题,严重制约了行业的可持续发展。推动中...
国土空间规划中土地资源高效利用的路径研究
摘要:国土空间规划是统筹各类空间资源的重要手段,可以促进土地资源高效利用。运用理论分析与逻辑推导方法,剖析国土空间规划体系,探讨影响土地资源高效利用的关键因素,提出国土空间规划中土地资源高效利用的路径。一是基于区域协同的空间布局优化,二是全...
基于微生物强化的“铁尾矿 + 沼液”协同处理模式分析
摘要:目前,铁尾矿存在环境污染、资源化利用不足等问题,同时畜禽养殖场配套沼气工程沼液处理与处置困难。基于微生物强化,设计“铁尾矿 + 沼液”协同处理模式。在该模式中,沼液富含的有机质和微量元素等为微生物及植物提供营养来源;将固氮菌、溶磷解钾...
电镀废水中重金属的资源化回收工艺及经济性分析
摘要:电镀行业产生的废水含有大量高毒性的重金属离子,如铜、镍、铬和锌等。若这些废水不经处理直接排放,则将对生态环境和人体健康造成严重威胁。同时,电镀废水中的重金属是一种宝贵资源,具有极高的回收价值。深入研究离子交换、膜分离、电化学法和吸附法...
畜禽养殖废弃物的资源化利用策略
摘要:畜禽养殖废弃物资源化利用是实现农业绿色转型与可持续发展的重要路径。系统梳理畜禽养殖废弃物的主要类型及理化特性,分析资源化利用在缓解环境污染、挖掘经济价值与推动循环农业中的必要性,并提出通过技术研发、资金支持、工艺优化、体系构建等综合策...
“大贵州滩” 天坑群新发现
摘要:基于“大贵州滩”天坑群开展调查研究工作,发现平塘县、罗甸县交界 66km2 范围内集中分布38处天坑。通过研究对比,“大贵州滩”天坑群总体具有规模大、分布集中、类型丰富、多期次发育等特点,是世界天坑群中发育密度最集中区域,也是世界第一...

综述

废汽车尾气净化催化剂火法回收技术研究进展
摘要:废汽车尾气净化催化剂是铂族金属(Platinum Group Metals,PGMs)的重要二次资源之一。其资源化回收对于保障我国PGMs资源安全具有重大战略意义。综述废汽车尾气净化催化剂火法回收技术的研究现状,评价各个工艺的优缺点。...
含钉二次资源中回收钌的研究现状
摘要:钌是一种战略金属资源,其高效回收对保障资源安全和促进可持续发展具有重要意义。系统综述含钌二次资源回收技术的研究进展,重点分析“溶解-富集”工艺体系中各类技术的特征与应用。在溶解环节,酸溶解法通过强氧化性介质实现钌的浸出,而碱熔融法则利...
稀贵多金属物料中铂、钯、金的分离研究现状
摘要:在“双碳”战略推动资源循环与绿色转型的背景下,铂、钯、金等战略金属的高效回收成为缓解资源约束与支撑低碳产业发展的关键环节。全球原生矿产资源日趋紧张,尤其是我国贵金属储采比显著低于世界平均水平,急需发展高效的二次资源再生技术。系统评述不...
铁捕集Fe-PGMs合金富集预处理的研究现状
摘要:铂族金属(PlatinumGroup Metals,PGMs)是我国关键战略资源。其回收利用备受关注。铁捕集法作为主流火法工艺,所获Fe-PGMs合金结构致密、化学惰性强,难以破碎处理,制约后续富集与提纯。湿法工艺在处理此类合金时面临...

环境保护

新时代土地综合整治与生态修复方法研究
摘要:立足国土空间治理现代化需求,探讨土地综合整治与生态修复的现实意义、实践困境与优化路径。分析认为,二者协同推进对优化国土空间格局、提升生态服务功能、保障粮食安全具有战略价值,但当前存在空间规划系统性不足、技术集成水平有限、长效监管机制缺...
环境监测采样过程中的质量控制关键点及改进措施
摘要:环境监测采样是环境数据获取的首要环节。其质量控制直接影响监测结果的准确性与可靠性。从环境监测采样的全流程出发,梳理采样过程中人员、设备、方案设计及样品运输等关键控制节点,分析各环节可能存在的技术疏漏与管理缺陷,并提出针对性的改进措施。...
基于遥感技术的水资源生态环境监测研究
摘要:在全球水资源生态环境问题日益凸显的背景下,精准、高效的监测手段成为关键。遥感技术凭借其独特优势,在水资源生态环境监测领域展现出巨大潜力。分析遥感技术在水资源生态环境监测中的价值,探讨当前监测过程中存在的难点,并针对这些问题提出具体的监...
矿山地质灾害治理及生态环境修复措施的应用分析
摘要:某小型铁矿采用露天与地下联合开采方式,引发地质灾害,破坏生态环境。系统分析矿区高陡边坡失稳、采空区塌陷、水土流失及水体污染等现状,提出综合治理方案。采用分级削坡与锚杆框架梁加固技术提升边坡稳定性,结合废石充填与诱导崩落法控制采空区沉降...
公众生态文明认知与践行差距的现状分析与优化途径
摘要:目前,我国公众生态文明建设存在高认知度与低践行度的问题。通过文献和实证研究,揭示公众生态意识与行为的差距,分析原因并提出完善制度、创新宣传、构建支持体系、培育生态文化等途径,促进公众生态文明认知与践行统一,推动生态文明建设。...
环境监测管理在大气污染治理中的作用探讨
摘要:环境监测管理是辅助大气污染治理决策,推进企业废气达标排放,提升区域大气排放质量的重要措施。为更好地适应大气污染治理的要求,吴江经济技术开发区重点从加强环境监测能力建设、编制污染物排放限值限量管理实施方案、坚持人防技防相结合、提升重点区...
长江支流铜离子污染现状及治理对策研究
摘要:针对长江支流铜离子污染问题,系统分析污染来源及空间分布特征。研究对比了化学沉淀法、生物吸附法、膜分离法、生态修复法等治理技术的效率与成本,并从源头控制、过程治理、动态监测3个方面提出协同治理对策。...
矿山环境监测与治理技术研究进展从理论到实践
摘要:随着矿产资源开采规模的不断扩大,矿山环境问题日益凸显,对生态系统和人类生存环境造成严重威胁。系统分析当前矿山环境监测与治理技术的研究进展,探讨空天地一体化监测、智能传感网络、遥感监测等先进技术在矿山环境监测中的应用效果,同时深入研究源...
水库生态安全多维价值重构与协同治理实践创新
摘要:水库作为流域生态系统的关键枢纽,生态安全已超越传统水资源供给功能,形成涵盖生态服务、公共健康与文化传承的复合价值体系。以2025年新型水务管理体系构建为政策背景,创新提出“生态安全一公共健康-社会治理”三维分析范式,通过水质健康关联模...
可持续发展视角下生态环境与水资源协同保护评价及路径探索
摘要:结合贵州省的实际情况,构建涵盖生态环境健康度、水资源安全度、资源利用效率和社会经济适应性的评价指标体系。以赤水河流域为例,应用该体系,综合得分显示整体良好,但在资源利用效率和社会经济适应性方面仍有提升空间。基于此,提出提升资源利用效率...
珠江口沉积物溶解性有机质来源及光谱特征的空间变化
摘要:珠江口是我国南方重要的河口,沉积物中的溶解性有机质(Dissolved Organic Matter,DOM)对区域碳循环和生态环境具有重要影响。阐述珠江口沉积物中DOM的主要来源,通过紫外可见吸收光谱和三维荧光光谱检测珠江口沉积物中...
基于玛湖1井区的新疆准噶尔盆地玛湖油田土地复垦适宜性探究
摘要:新疆准噶尔盆地玛湖油田地处生态脆弱区,玛湖油田开发现已形成规模,但是其在生产建设中会造成土地资源破坏,进一步威胁脆弱生态环境。石油天然气项目建设用地具有分散性和不确定性,表现出规模大、线路长和范围广等特点,土地复垦方案需要因地制宜地进...
声环境质量监测点位布设难点与应对策略分析
摘要:声环境质量监测点位的合理布设是准确掌握声环境质量状况、有效开展噪声污染防治的关键。分析声环境质量监测点位布设过程中面临的难点,如监测点位数量与覆盖范围不足、点位分布不均衡、缺乏优选技术路线、代表性不足等,并提出相应的策略,旨在为提高声...
农业面源污染分布及其生态风险
摘要:当前,农业面源污染已成为我国流域水质持续改善的关键制约因素。江苏省是典型集约化农业区,农田氮磷流失导致的面源污染问题尤为突出,对太湖、洪泽湖等重点水域构成严重威胁。以苏州市集约化农业区为研究对象,评估稻麦轮作与蔬菜种植模式下农田面源污...
环保规范化管理在工业企业中的应用研究
摘要:随着环境问题日益凸显,环保要求不断提高,工业企业作为环境污染的主要来源之一,实施环保规范化管理已成为必然趋势。因此,根据工业企业环保管理的实践需求,在简单阐述工业企业环保规范化管理重要性的基础上,重点分析环保规范化管理在工业企业中的应...
气候变化背景下纳帕海省级自然保护区生态管护策略调整与实践
摘要:纳帕海省级自然保护区位于云南省迪庆藏族自治州香格里拉市,具有水源涵养、生物多样性保护及候鸟栖息地支撑等生态功能。气温升高与降水分布时空变化显著干扰纳帕海湿地水位周期、植被生长节律与鸟类越冬节段,区域生态稳定性受到持续冲击。聚焦气候变化...
室内空气TVOC在不同温湿度条件下的释放与迁移规律
摘要:通过环境舱模拟不同温湿度工况,分析温湿度耦合对室内总挥发性有机物(Total Volatile OrganicCompounds,TVOC)释放与迁移的影响。结果表明,温度是TVOC释放的主要驱动因素,可显著提升释放速度与峰值质量浓度...
广东省山水工程生态产品价值转化困境与应对策略分析
摘要:在“双碳”目标与“两山”理念融合背景下,作为经济前沿与生态敏感区,广东省面临生态产品价值转化的特殊挑战。聚焦红树林、矿山修复区等典型山水工程生态产品,运用案例与制度比较法,揭示其在价值核算、产权制度、金融支持与政策保障等方面的困境。具...
城市生活垃圾焚烧发电项目环境影响评价分析
摘要:生活垃圾楚烧发电是处理垃圾的有效方式,兼具环保与能源回收价值。项目运行中需重点解决二噁英、重金属、渗滤液、飞灰及噪声等污染问题。通过采用分类处理、资源化利用、全流程控制等措施,可实现多污染物协同控制。实践证明,先进技术与严格管理的有机...
城市新区管网雨污分流设计要点及施工技术分析
摘要:为提升排水系统效能和环保水平,分析城市新区管网雨污分流设计要点及施工技术。通过现场调查,明确了雨污混合的主要原因,并提出系统的雨污分流设计方案,包括排水管网、市政道路下管网、用户接入点、沿河河道排污口及支管网的设计要点。在施工技术方面...
阳泉市温室气体浓度变化特征研究
摘要:阳泉市作为典型的煤炭工业城市,温室气体排放特征显著。基于2024年阳泉市 CO2 与 CH4 的小时平均质量浓度观测数据以及相关的气象数据,分析温室气体排放特征与气象要素的关系。结果显示: CO2 月均质量浓度呈现U形分布,冬季峰值与...
大气污染的危害及治理技术研究
摘要:随着工业化与城市化的加速推进,空气污染问题日渐凸显,已成为全球范围内不可忽视的重大环境挑战。空气质量恶化不仅对人类健康构成威胁,还会破坏生态系统,成为制约经济社会可持续发展的重大障碍。为了有效应对大气污染带来的挑战,深入探讨大气污染的...

节能减排

“双碳”目标下我国电力产业转型的问题与对策研究
摘要:随着全球气候变化问题日益严重,我国提出了“双碳”目标。在这一背景下,电力产业作为碳排放的主要来源之一,急需进行转型。基于“双碳”目标,结合我国电力产业发展现状,探寻电力产业转型过程中电网、电力产业、能源结构、传统模式、制度体系、资金以...
耕地资源高效利用模式的碳减排效应及优化路径研究
摘要:基于宁国市耕地资源质量分类年度数据,对耕地资源利用模式进行识别,阐述了不同耕地类型和属性因子的碳减排效应特征,介绍了碳储量估算方法与空间分布分析。结合坡度与有机质条件,提出差异化耕地利用、有机质提升与数据化监管等优化路径。结果表明,基...
汽车玻璃企业清洁生产审核与评估验收
摘要:以汽车玻璃企业为例,基于清洁生产审核程序,系统分析其生产过程的能源消耗结构及主要污染排放特征。结合典型企业案例,探讨清洁生产在节能降耗、减排增效方面的作用,为同类企业实施清洁生产审核提供技术与管理支持。...
城镇污水处理厂节能降碳技术研究
摘要:在全球气候变化的大背景下,城镇污水处理厂作为排水系统能耗大户和碳排放的重要来源,其节能降碳技术的研究与应用显得尤为重要。总结当前城镇污水处理厂节能降碳的主要技术路径,包括设备优化、工艺升级、能源回收和资源化利用等方面。通过理论分析、数...
老旧小区雨污分流改造技术应用研究
摘要:随着我国城镇化进程的加快,城市雨污分流改造成为提升城市品质、改善人居环境的关键举措。老旧小区雨污合流问题显著,部分污水随水流排入自然水体,导致环境污染。同时,大量雨水汇入合流管,大幅增加下游污水处理厂处理压力。分析老旧小区雨污分流改造...
广州市南沙区碳核查与排污许可管理的衔接应用研究
摘要:随着全球对气候变化问题的关注度不断提高,我国积极推动碳达峰碳中和目标的实现。在此背景下,碳核查与排污许可管理成为环境治理的重要手段。其衔接应用对于提升区域环境管理效能,促进绿色低碳发展具有重要意义。选取广州市南沙区作为研究区,分析碳核...
模块化集装箱式废气治理设备的设计与资源高效利用研究
摘要:模块化集装箱式废气治理设备凭借灵活、高效等特性,在工业废气处理领域具有重要应用价值。围绕该设备开展设计与资源高效利用探索,通过优化整体架构,科学划分核心模块功能,实现设备集成与适配的高效性。同时,运用能源回收再利用、材料循环设计及水资...
水环境中的化能自养微生物种群及固碳功能
摘要:在水环境生态系统中,化能自养微生物的固碳功能对全球碳平衡具有重要意义。系统梳理水环境中化能自养微生物的主要种群,包括厌氧古菌、硝化微生物、氢氧化菌和厌氧细菌等,详细阐述这些微生物在不同水环境中的固碳表现。化能自养微生物通过独特的代谢途...
湿法烟气脱硫用圆盘脱水机系统化性能测试分析
摘要:基于湿法烟气脱硫工艺对脱水设备高效稳定运行的要求,分析圆盘脱水机在处理脱硫副产物过程中的性能评价关键点,提出一套系统化的性能测试方法。构建试验平台并配置多组工况参数,通过设置真空压差、进料浓度和转速等变量,开展标准化测试和实时数据采集...
绿色岩土工程在工业场地碳减排与生态保护中的应用
摘要:在全球“双碳”目标与生态保护战略背景下,工业场地作为碳排放关键场景与生态扰动高频区域,需进行岩土工程的低碳化与生态化转型。主要阐述了工业场地岩土工程的碳排放来源与生态问题,分析了绿色岩土工程在碳减排领域的低碳材料研发、节能施工技术与岩...
抽水蓄能电站建设过程中的低碳施工技术与运营期碳减排路径分析
摘要:针对抽水蓄能电站建设与运营的低碳化转型,系统梳理了建设期低碳施工技术的创新实践,包括机械化施工、智能监测系统应用、生态修复工程等。同时,深入分析了运营期碳减排路径,包括调峰填谷、可再生能源消纳、黑启动等核心功能的优化。通过案例研究,揭...

污水治理

污泥处理的热解碳化技术实践探索
摘要:为了提升污泥末端处理的资源化与减量化水平,采用固定床热解碳化试验方法,系统分析温度、时间、加热速率与料层厚度等参数对产物性能的影响,并结合实际污水处理厂工程案例探讨其经济与环境效益。结果表明,该技术能有效降低污泥体积,提升碳资源利用效...
地下污水处理厂变电站通风系统模拟研究
摘要:地下污水处理厂变电站空间小,散热量大。以西安市某地下污水处理厂为例,利用FLUENT软件建立数学模型,模拟不同进风温度以及不同送排风比条件下的压力场、温度场、速度场,对现有3种变电站的空调设计方案进行技术经济比较。结果表明,对于地下式...
水源地污染物削减与生态修复技术研究
摘要:针对水源地污染物削减与生态修复技术展开系统性研究,提出“自然恢复为主、人工调控为辅”的技术原则,重点探讨复合湿地系统、微生物-植物协同修复及智慧化动态调控等关键技术的发展趋势。同时,通过多技术耦合创新、动态监测体系构建与生态补偿机制完...
基于膜生物反应器的工业园区重金属微污染废水处理技术研究
摘要:工业园区会产生大量重金属微污染废水,对生态环境构成潜在威胁。基于膜生物反应器,设计工业园区重金属微污染废水处理技术,利用生物膜上的微生物群落对废水中的重金属进行吸附、转化和去除。微生物通过代谢活动将废水中的重金属离子转化为不溶性化合物...
大湾区工业园高盐废水深度处理与分质回用技术研究
摘要:粤港澳大湾区电子制造业聚集,工业园产生的高盐废水对水环境造成巨大压力。该类废水具有盐度高、成分复杂、易结垢等特征。以广东省某工业园区为例,提出“预处理 + 反渗透 + 碟管式反渗透 + 机械蒸汽再压缩蒸发结晶”的解决方案。实施结果表明...
工业园区污水治理综合方案设计与实施
摘要:工业园区污水处理系统的优化研究对于污染物减排、水体保护及生态系统维护具有重要实践意义。以广东省某工业园区为研究对象,构建一套基于“预处理-水解-生化-磁混凝过滤消毒”的多级污水处理工艺体系。水质预测数据表明,该污水治理方案对工业园区及...
青岛市农村生活污水治理模式研究
摘要:青岛市以整县制全域治理为总抓手,整合机制、资金、技术和人员等优质要素资源,全力推动农村生活污水治理提质增效、提速升级。根据青岛市农村生活污水的特点,分析现有治理模式存在的问题,提出相应的对策,为农村生活污水治理提供参考。...
铁路隧道清污分流排水管道检测与维护策略
摘要:铁路隧道清污分流排水管道是保障隧道结构安全与环境保护的核心设施。基于此,剖析其结构、材质特性、运行环境与清污分流原理,梳理检测与维护的难点,提出全面有效的策略,涵盖检测技术、维护措施等方面,旨在保障排水管道稳定运行,为保护铁路隧道安全...
黄河流域水生态保护与修复方法探究
摘要:从黄河流域水生态保护与修复的现实需求出发,分析加强黄河流域水生态保护与修复的重要意义,系统探讨工业、农业及生活污水的治理方法,并结合流域污染特征提出科学治理方案、综合治理路径及生态修复策略。研究强调通过优化水资源配置、强化协同治理机制...
汽车零部件企业电镀废水重金属的生物脱除研究
摘要:汽车零部件生产过程会产生重金属含量超标的电镀废水,可采用生物脱除技术进行处理。系统分析汽车零部件企业电镀废水的特性,详细介绍3种主要的生物脱除技术,总结生物脱除技术在电镀废水处理中的应用要点,为汽车零部件行业提供一种科学、环保的废水处...
农村污水治理模式的创新与实践
摘要:长期以来,由于基础设施落后、资金投入不足等问题,农村污水治理面临严峻挑战。阐述当前农村常用污水治理模式的优缺点,结合农村污水治理模式创新的必要性,提出一系列创新策略。实践结果表明,创新治理模式能够显著降低农村污水排放量并改善水质,可以...
基于环境保护的城市生活污水处理研究
摘要:城市发展会产生大量生活污水,不仅会污染土壤和地下水,还危害人体健康。因此,应重视城市生活污水的处理,加强环境保护,促进城市的健康发展。基于此,结合实际案例分析城市生活污水处理现状,并从环境保护的角度提出城市生活污水处理的对策。...
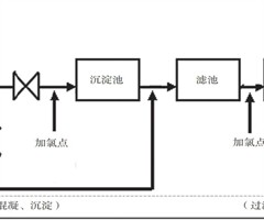
聚合氯化铝-高岭土联用去除水源水二价铁的应用研究
摘要:针对我国南方某水厂因原水溶解氧骤降导致的二价铁超标问题,提出聚合氯化铝与高岭土联用工艺,系统评估其应急处理效能及适用性。经现场试验与数据分析,高岭土投加量增至 150mg/L 时,在原水铁含量为 0.30mg/L 的条件下,滤后水铁含...
幸福河湖建设的理论框架与实践
摘要:幸福河湖建设是一种新型河湖治理模式,但是目前区域推进不均衡,评估标准“一刀切”,生态价值转化路径单一,跨区域协同治理困难。系统探讨幸福河湖建设的理论框架与实践路径,针对目前幸福河湖推广实施存在的问题,提出对策,为推进幸福河湖建设提供理...
苏州市相城区水环境综合治理分析
摘要:苏州市相城区位于苏州市中心城区北部,东拥阳澄湖、西临太湖,享有“水相城”之称,在享受长江三角洲一体化发展机遇的同时,承担更大的生态环境保护压力。目前,相城区水生态环境保护仍面临断面水质不能稳定达标、湖泊总磷居高不下等问题。针对相城区水...
农村生活污水新型治理思路与实践模式分析
摘要:目前,广州市南沙区农村生活污水底数不清,排放分散,收集难度大,收集率和资源化利用率低。结合研究区农村生活污水查漏补缺治理工程的实践,针对农村生活污水存在的现实难点,突破传统建设模式的局限,提出系统化的综合治理思路。该方案创新引入分散式...
电催化氧化处理高氮农药废水的效能与机制
摘要:针对农药生产企业高浓度、高氮废水的处理难题,开展了电催化氧化技术的实际工程应用并评估效果。通过对某农药企业生产过程中产生的高氮废水进行小试及工程化试验,系统分析了电催化氧化技术的脱氮效能与经济效益。研究结果表明,在电流密度为 500~...
相关杂志
订阅全年后,您可享受以下权益
①该本杂志即日起至未来1年内所有更新电子版杂志的使用权限;
②赠送该杂志的部分往期的杂志的使用权限,有效期1年。

全年订购价格: ¥159.48

订阅全年
--%>

登录龙源期刊网

温馨提示:

1.点击网站右上角的“充值”按钮可以为您的账号充值

2.充值金额可以选择30,50,100或500元

3.充值成功后即可购买网站上的任意杂志或文章

还没有龙源账户? 立即注册

购买杂志

中国资源综合利用

杂志价格:¥13.29元

  • 微信扫码支付
  • 当前余额:100.00

购买杂志

中国资源综合利用

杂志价格:¥13.29元

  • 微信扫码支付
  • 当前余额:¥100.00

    去充值
monitor
客服机器人