注册帐号丨忘记密码?
1.点击网站首页右上角的“充值”按钮可以为您的帐号充值
2.可选择不同档位的充值金额,充值后按篇按本计费
3.充值成功后即可购买网站上的任意文章或杂志的电子版
4.购买后文章、杂志可在个人中心的订阅/零买找到
5.登陆后可阅读免费专区的精彩内容
打开文本图片集
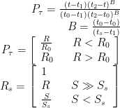
新疆是我国最大的棉花产区,也是我国重要的棉纺织工业原料保障基地。北疆棉花的优势产区位于天山北坡一带。该区域地势较为平坦,种植面积广阔,棉花种植已形成规模化、产业化。棉花是喜温、喜光、对水分敏感的作物,其产量与气候条件密切相关[1-2]。国内外学者在分析气象条件与作物生长关系时,会引入气候适宜度的研究。(剩余9264字)
登录龙源期刊网
购买文章
新疆北部沿天山一带棉花气候适宜度及产量预测
文章价格:5.00元
当前余额:100.00
阅读
您目前是文章会员,阅读数共:0篇
剩余阅读数:0篇
阅读有效期:0001/1/1 0:00:00