注册帐号丨忘记密码?
1.点击网站首页右上角的“充值”按钮可以为您的帐号充值
2.可选择不同档位的充值金额,充值后按篇按本计费
3.充值成功后即可购买网站上的任意文章或杂志的电子版
4.购买后文章、杂志可在个人中心的订阅/零买找到
5.登陆后可阅读免费专区的精彩内容
打开文本图片集
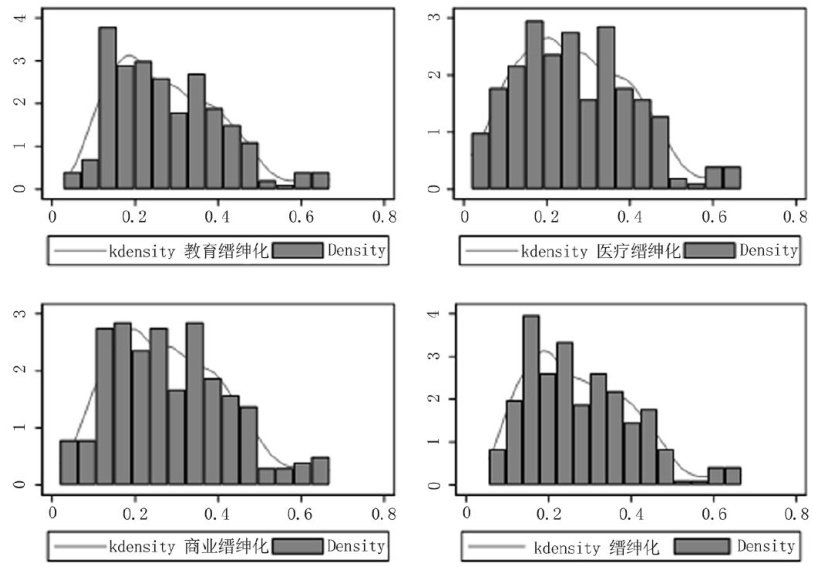
关键词:缙绅化;创新力;不平等;闲暇偏好;经济增长
中图分类号:F124文献标志码:A 文章编号:1002-462X(2025)12-0125-12
DOI:10.20231/j.cnki.xxyts.2025.12.013
一、引言
缙绅化(Gentrification)是指城市着重吸纳缙绅群体,如科学家、工程师、金融家、艺术家等,以此吸引风险投资、构筑城市新经济的过程。(剩余14635字)
登录龙源期刊网
购买文章
缙绅化、闲暇偏好与地区增长
文章价格:6.00元
当前余额:100.00
阅读
您目前是文章会员,阅读数共:0篇
剩余阅读数:0篇
阅读有效期:0001/1/1 0:00:00